Газета Троицкий Вариант 45 (19_01_2010) - Страница 15

Изменить размер шрифта:

Фотография хромосферы, сделанная с помощью Шведского солнечного телескопа (SST) и свидетельствующая о присутствии альвеновских волн. Выделена исследуемая область. На изображении одна угловая секунда соответствует 725 км. Фото: David Jess, Queen's University Belfast (из статьи arXiv: 0903.3546)

Газета Троицкий Вариант  45 (19_01_2010) - TAGhttp___grani_ru_files_41198_gif656078

Магнитная трубка между фотосферной и хромосферной областями. Возмущения в трубке приводят к появлению альвеновской волны, идущей вверх. Возникают торсионные колебания в направлении, перпендикулярном к направлению распространения волны. Эти колебания и наблюдались авторами (из статьи arXiv: 0903.3546)

А вот серьезные нарушения привычных циклов солнечной активности изрядно озадачивают астрономов уже не первый год. Изучением Солнца заняты теперь многие научные группы, использующие новейшие астрономические инструменты. Например, активно работает запущенная NASA в октябре 2006 года на околосолнечные орбиты пара солнечных телескопов STEREO 241 (Solar TErrestrial RElations Observatory) и японский научный спутник «Хинодэ» (Hinode, Solar-B), стартовавший 23 сентября 2006 года. К сожалению, запущенный 30 января 2009 года на околоземную орбиту российский космический аппарат «Коронас-Фотон» (предназначенный для исследований Солнца), проработал лишь несколько месяцев вместо заявленных трех лет.

Газета Троицкий Вариант  45 (19_01_2010) - TAGhttp___grani_ru_files_50608_gif_1263803988844525

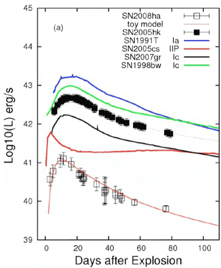
Изменение светимости SN2008ha (нижняя кривая) сравнивается с поведением других сверхновых. Видно, насколько SN2008ha слабее других (из статьи arXiv: 0901.2074)

Неожиданности ждали исследователей сверхновых звезд. В течение года появилось несколько работ, в которых говорилось об обнаружении и исследовании довольно странных сверхновых, которые теоретики только пытаются уложить в стандартные сценарии. В первую очередь хочется выделить не экстремально мощные или яркие сверхновые (о них писали, например, в статьях arXiv: 0911.2002 242 , arXiv: 0908.1990 243 ), а наоборот, — очень слабую сверхновую SN 2008ha, которой было посвящено две работы: arXiv: 0902.2794 244 и 0901.2074 245 . Это самая тусклая из известных сверхновых. Ее абсолютная звездная величина в максимуме составила всего лишь -14,2. Это дает светимость менее 1041 эрг/с. Определенная по спектральным линиям скорость разлета вещества — всего лишь около 2000 км/с в момент максимума блеска. Там очень мало никеля-56, и вообще выброшено мало вещества. Авторы рассматривают разные модели. Если взорвался одиночный объект, то это может быть электронный захват в Ne-Mg карлике или дефлаграция (ядерное горение без образования сильной ударной волны) C-O карлика.

Газета Троицкий Вариант  45 (19_01_2010) - TAGhttp___grani_ru_files_50610_gif_1263804166263382

Снова эволюция светимости SN2008ha сравнивается с другими сверхновыми (из статьи arXiv: 0902_2794)

Газета Троицкий Вариант  45 (19_01_2010) - TAGhttp___grani_ru_files_50609_gif_126380406353407

Фотография SN2008ha и галактики UGC 12682, в которой она вспыхнула (из статьи arXiv: 0902_2794)

Еще один результат по сверхновым связан с изучением очень быстро эволюционирующей вспышки SN2002bj: блеск быстро нарастал и быстро спадал — гораздо быстрее, чем у всех других известных сверхновых. Авторы arXiv: 0911.2699 246 полагают, что это может быть взрыв гелиевого белого карлика.

Газета Троицкий Вариант  45 (19_01_2010) - TAGhttp___grani_ru_files_50629_gif_1263805383113588

Эволюция светимости сверхновой SN2002bj. Кривые разного цвета соответствуют разным частям оптического диапазона. Серые — кривые блеска других сверхновых. Видно, что светимость падает очень быстро (из статьи arXiv: 0911.2699)

Газета Троицкий Вариант  45 (19_01_2010) - TAGhttp___grani_ru_files_50618_gif_1263804837567658

Сверхновая 2005E. Показана галактика NGC 1032, в которой произошла вспышка. Видно, что сверхновая находится «на задворках». Положение сверхновой указано стрелкой. Панели f-g показывают увеличенное изображение области со сверхновой (место выделено кружком) до и после взрыва. Не видно ни области звездообразования, ни прародителя (из статьи arXiv: 0906.2003)

Наконец, была обнаружена слабая сверхновая типа Ib (SN 2005E) с выбросом небольшого количества вещества и некоторыми аномалиями содержания элементов ( arXiv: 0906.2003 247 ). При этом взрыв произошел во внешних частях довольно близкой галактики NGC 1032. Т.е., по всей видимости, звезда не могла быть массивной. Все это дает авторам основания утверждать, что обнаружен новый тип сверхновых.

Газета Троицкий Вариант  45 (19_01_2010) - TAGhttp___grani_ru_files_50627_gif_1263805292142691

Диаграмма масса — радиус для нейтронных звезд. Зеленым и коричневым обозначены исключенные области. Фиолетовые кривые соответствуют разным уравнениям состояния вещества в недрах нейтронных звезд. Показаны большие области неопределенности и их центры, соответствующие возможным комбинациям массы и радиуса источника в Кассиопее А (из статьи arXiv: 0911.0672)

Некоторые нейтронные звезды видны прямо внутри остатков породивших их сверхновых. Одним из таких интересных примеров является остаток Кассиопея А. Если по данным о расстоянии, потоке и по спектральным данным мы попробуем определить размер излучающей области компактного источника в центре остатка, то он получается небольшим — что-то вроде километра. Но радиус нейтронной звезды — около 10 км. Само по себе это не является проблемой: на поверхности нейтронной звезды может быть горячее пятно. Однако если есть пятно, то мы должны видеть пульсации излучения. А в случае Кассиопеи А их нет. Для описания спектров остывающих нейтронных звезд очень важно учитывать свойства их атмосфер. Для Кассиопеи А пробовали разные варианты состава атмосфер, но только сейчас, похоже, удалось все удовлетворительно описать ( arXiv: 0911.0672 248 ). Авторы рассмотрели углеродную атмосферу в слабом магнитном поле. При таких предположениях удалось описать все, что нужно. Теперь нет нужды в горячем пятне для объяснения отсутствия пульсаций.

Газета Троицкий Вариант  45 (19_01_2010) - TAGhttp___grani_ru_files_50643_jpg_1263829345155528

Изображение остатка сверхновой Кассиопея А по данным «Чандры» (Credit: NASA)

Два интересных результата связаны с радиопульсарами. Во-первых, прямые измерения, проведенные с помощью радиоинтерферометров со сверхдлинными базами (Very Long Baseline Interferometry — VLBI) дали очень большое расстояние до двойного пульсара J0737–3039A/B ( arXiv: 0902.0996 249 ). Прежняя оценка увеличена примерно вдвое. Теперь это 1150(+220 -150) парсек. Заодно подтверждена (и, разумеется, уменьшена) оценка трансверсальной (перпендикулярной к лучу зрения) скорости. Теперь она получается менее 10 км/с. Первое важно для оценок темпа слияния нейтронных звезд. Второе — для изучения механизмов взрыва сверхновой.

Оригинальный текст книги читать онлайн бесплатно в онлайн-библиотеке Knigger.com