Финансовый менеджмент – это просто: Базовый курс для руководителей и начинающих специалистов - Страница 4
Итак, все три цифры (100 руб. сейчас, 110 руб. через год, 121 руб. через два) эквивалентны. Иначе говоря, для инвесторов 110 руб. через год равны 100 руб. «сегодняшних денег» и равны 121 руб. денег «через два года» (с учетом того, что эти деньги вкладываются в проекты с одинаковым риском).
На этом соображении и основан принцип дисконтирования. При дисконтировании мы пытаемся «привести» деньги будущих периодов к эквивалентным «сегодняшним» деньгам. Иными словами, при дисконтировании мы узнаем, сколько «стоит» для инвестора некая сумма в будущем в «сегодняшних деньгах» (ее «сегодняшнюю стоимость» или по-английски present value = PV).
Для дисконтирования денежных потоков существует формула:

где: n – номер периода (обычно года). Ноль – это денежный поток нулевого года, то есть денежный поток «сейчас»;
CFn – денежный поток соответствующего периода;
r – ставка дисконтирования. По сути, это тот процент, под который инвесторы готовы дать деньги на проект. В дальнейшем в книге мы будем говорить о том, как она получается.
Кстати, если убрать из числителя денежный поток, то останется формула множителя дисконтирования, который называется фактором или коэффициентом дисконтирования (discount factor – DF):

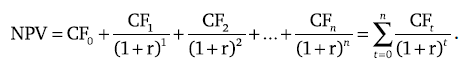
Проведя подобную процедуру со всеми денежными потоками проекта и просуммировав получившиеся «сегодняшние» деньги, мы получим чистую дисконтированную стоимость проекта (net present value – NPV), то есть стоимость проекта для инвестора в «сегодняшних» деньгах:

Получив NPV проекта, мы проведем, выражаясь научно, «оценку проекта с использованием метода дисконтирования чистых денежных потоков». На практике метод называют методом DCF (от английского Discounted Cash Flows – дисконтированные денежные потоки).
Обычно в начале проекта идут отрицательные денежные потоки – это инвестиции. Затем после запуска работы проекта деньги постепенно начинают возвращаться инвесторам.
В чем заключается физический смысл NPV?
• Если NPV>0, то инвесторы получат от проекта больший возврат, чем им требуется, – надо инвестировать деньги. В проекты с отрицательным NPV инвестировать деньги не стоит – они не дают достаточного возврата на вкладываемый капитал.
• Значение NPV – это, по сути, дополнительные деньги «сегодня», которые инвестор готов заплатить, чтобы «купить» проект (получить в нем долю). Если NPV отрицательный, то это деньги, которые организаторы проекта должны компенсировать инвестору «сегодня», чтобы он «захотел» принять участие в проекте. Например, если NPV проекта равно минус 20 руб., то, чтобы вы приняли участие в проекте, вам кто-то должен компенсировать эти 20 руб. Еще одна возможная интерпретация NPV – насколько больше могут быть фактические инвестиции в проект (сверх планируемых), чтобы он не потерял привлекательность для инвесторов. То есть если NPV проекта равно плюс 20 руб., инвестиции в него могут быть на 20 руб. выше, чем планируемые, и при этом он не потеряет для вас привлекательности.
Метод DCF очень удобен в применении, поэтому он приобрел огромную популярность и сейчас де-факто является стандартом принятия бизнес-решений по инвестиционным проектам.
Процедура применения метода следующая.
1. Определяются и складываются положительные и отрицательные денежные потоки первого периода проекта (обычно года).
2. Проводится дисконтирование суммы, полученной в Шаге 1. Коэффициент дисконтирования будет зависеть от номера периода по отношению к точке начала проекта.
3. Процедура повторяется для каждого периода проекта.
4. Полученные дисконтированные денежные потоки суммируются. Получившаяся сумма – это NPV проекта.
5. Производится принятие решения по проекту.
В результате этих шагов перед шагом 4 вы получаете финансовую модель проекта. На практике финансовые модели проектов вы будете строить с помощью электронных таблиц, таких как Excel.
Существует также несколько упрощенных формул дисконтирования, которые существенно облегчают жизнь даже несмотря на наличие Excel.

В общем случае должны реализовываться все проекты с положительным NPV. Однако на практике объем инвестиций на рассматриваемые в компании проекты с положительным NPV часто превышает доступные компании объемы инвестиций. В этом случае надо как-то выбрать те проекты, которые компания будет реализовывать. Для решения этой задачи обычно применяют индекс прибыльности.
Индекс прибыльности
Индекс прибыльности (PV / I или PI-индекс) – это отношение NPV денежных потоков проекта к дисконтированному объему инвестиций проекта. Фактически этот индекс показывает, сколько дополнительных рублей (помимо требуемого возврата на капитал) получит инвестор на рубль инвестиций. Для принятия решения в этом случае упрощенно, все имеющиеся проекты сортируются по убыванию индекса прибыльности и принимаются сверху вниз до момента, когда закончится лимит доступных инвестиций.
Например, у вас есть такие проекты:

Предположим, что всего у вас есть 150 руб. инвестиций. В этом случае вы вложите деньги только в проекты А и В, так как они обеспечивают наибольшую отдачу на рубль инвестиций.
Иногда, кроме NPV и PI-индекса, применяют также дополнительные барьеры «отсечения» проектов, такие как внутренняя норма доходности (IRR) и дисконтированный срок окупаемости (DPP).
Внутренняя норма доходности
Внутренняя норма доходности (Internal Rate of Return или IRR) – это такое значение ставки дисконтирования (r), при котором NPV проекта равно нулю. Иными словами IRR показывает, какова максимальная процентная ставка, под которую инвестор может дать деньги на проект.
Обратите внимание, что, исходя из логики формулы дисконтирования NPV-проекта, уменьшаются по мере увеличения ставки дисконтирования.

В какой-то момент график NPV пересечется с осью Х. Эта точка и будет значением IRR.
Основным недостатком метода отбора проектов только по IRR является то, что он не учитывает абсолютного значения NPV-проектов. Например, у вас есть два взаимоисключающих проекта. Один с NPV=10, но IRR=200 %, второй с NPV=100, но IRR=50 %. Если инвестор требует возврат на вложенный капитал в размере 20 % (и нет ограничения по инвестициям), то компания должна принять проект с NPV=100, так как он обеспечивает необходимый возврат на капитал и наибольшую дополнительную «премию» инвестору в абсолютном размере. При анализе же только по IRR решение будет принято неправильное.
На практике IRR обычно только один из «барьеров» по принятию проектов. Например, принимаются только проекты с NPV>0 и IRR не менее 30 %.
Дисконтированный срок окупаемости
Дисконтированный срок окупаемости (Discounted Payback Period – DPP, читается «ди-пи-пи») показывает, за какой период времени от момента начала финансирования проекта все дисконтированные инвестиционные затраты будут покрыты за счет дисконтированной суммы денежных потоков, генерируемых проектом. С обыденной точки зрения DPP показывает тот момент во времени с начала реализации проекта, когда инвестор должен полностью окупить свои затраты (с учетом получения на них требуемого процента возврата). С этого момента вся дополнительная прибыль по проекту – это дополнительный бонус (премия) для инвестора сверх требуемой им доходности инвестиций.