Фейнмановские лекции по физике. 7. Физика сплошных сред - Страница 14
Ознакомительная версия. Доступно 14 страниц из 70.где rдр— плотность зарядов, учтенная Максвеллом и относящаяся к другим зарядам, не связанным с определенными атомами. При этом мы бы написали
После подстановки rпол из (32.9) получаем
или
В плотность тока, фигурирующую в уравнениях Максвелла для СXB, вообще говоря, тоже вносится вклад от связанных атомных электронных токов. Поэтому мы можем написать
j=jпол+jдр,
причем уравнение Максвелла приобретает вид
Используя уравнение (32.10), получаем
Теперь вы видите, что если бы мы определили новый вектор D
D=e0E+P, (32.14)
то два уравнения поля приняли бы вид
С·D=rдр (32.15)
и
Это и есть та форма уравнений, которую использовал Максвелл для диэлектриков. А вот и остальные два уравнения:
СXЕ=-дB/дt
и
С·B=0,
которые в точности совпадают с нашими.
Перед Максвеллом и другими учеными того времени вставала проблема магнетиков (за них мы вскоре примемся). Они ничего не знали о циркулирующих токах, ответственных за атомный магнетизм и поэтому, в плотности тока утеряли еще одну часть. Вместо уравнения (32.16) они на самом деле писали
где Н отличается от e0с2В, так как последнее учитывает эффекты атомных токов. (При этом j' представляет то, что осталось от токов.) Таким образом, у Максвелла было четыре полевых вектора: Е, D, В и Н, причем в D и Н скрывалось то, на что он не обратил внимания,— процессы, происходящие внутри вещества. Уравнения, написанные в таком виде, вы встретите во многих местах.
Чтобы решить их, необходимо как-то связать D и Н с другими полями, поэтому зачастую писали
D =eE
и
В=mH. (32.18)
Однако эти связи верны лишь приближенно для некоторых веществ, и то лишь когда поля не изменяются слишком быстро со временем. (Для синусоидально изменяющихся полей зачастую можно писать уравнения таким способом, считая при этом e и mкомплексными функциями частоты, но для произвольных изменений поля со временем это неверно.) На какие только ухищрения не пускаются ученые, чтобы решить уравнения! А мне кажется, что правильнее всего оставить уравнения записанными через фундаментальные величины, как мы понимаем их теперь, т. е. как раз то, что мы и проделали.
§ 3. Волны в диэлектрике
Теперь нам предстоит выяснить, какого сорта электромагнитные волны могут существовать в диэлектрическом веществе, где других зарядов, кроме тех, что связаны в атомах,
нет. Таким образом, мы возьмем r=-С·Р и j=дP/дt . При этом уравнения Максвелла примут такой вид:

Мы можем решить эти уравнения, как делали это прежде. Начнем с применения к уравнению (32.19в) операции ротора:
СX(СXE)=-(д/дt)СXB.
Используя затем векторное тождество
СX(СXE) = С(С·E)-С2E и подставляя выражение для СXB из (32.19б), получаем
Используя уравнение (32.19а) для С·Е, находим
Таким образом, вместо волнового уравнения мы теперь получили, что даламбертиан Е равен двум членам, содержащим поляризацию Р.
Однако Р зависит от Е, поэтому уравнение (32.20) все еще допускает волновые решения. Сейчас мы будем ограничиваться изотропными диэлектриками, т. е. Р всегда будет иметь то же направление, что и Е. Попробуем найти решение для волны, движущейся в направлении оси z. Электрическое поле при этом будет изменяться как еi(wt-kz). Предположим также, что волна поляризована в направлении оси х, т. е. что электрическое поле имеет только x-компоненту. Все это записывается следующим образом:
Ex=E0ei(wt-kz). (32.21)
Вы знаете, что любая функция от (z-vt) представляет волну, бегущую со скоростью v. Показатель экспоненты в выражении (32.21) можно переписать в виде
-ik[z-(w/k)t],
так что выражение (32.21) представляет волну, фазовая скорость которой равна
vфаз=w/k.
В гл. 31 (вып. 3) показатель преломления nопределялся нами из формулы
vфаз=c/n.
С учетом этой формулы (32.21) приобретает вид
Ex=E0eiw(t-nz/c).
Таким образом, показатель nможно определить, если мы найдем ту величину k, которая необходима, чтобы выражение (32.21) удовлетворяло соответствующим уравнениям поля, и затем воспользуемся соотношением
n=kc/w. (32.22)
В изотропном материале поляризация будет иметь только x-компоненту; кроме того, Р не изменяется с изменением координаты х, поэтому С·P=0 и мы сразу же избавляемся от первого члена в правой стороне уравнения (32.20). Вдобавок мы считаем наш диэлектрик «линейным», поэтому Рхбудет изменяться как еiwtи d2Px/dt2= -w2Px. Лапласиан же в уравнении (32.20) превращается просто в д2Ex/dz2=-k2Еx, так что в результате получаем
Теперь на минуту предположим, что раз Е изменяется синусоидально, то Р можно считать пропорциональной Е, как в уравнении (32.5). (Позднее мы вернемся к этому предположению и обсудим его.) Таким образом, пишем
Px=e0NaEx.
При этом Ехвыпадает из уравнения (32.23), и мы находим
k2=w2/c2(1+Na). (32.24)
Мы получили, что волна вида (32.21) с волновым числом k, задаваемым уравнением (32.24), будет удовлетворять уравнениям поля. Использование же выражения (32.22) для показателя nдает
n2 = l+Na. (32.25)
Сравним эту формулу с тем, что получилось у нас для показателя преломления газа (гл. 31, вып. 3). Там мы нашли уравнение (31.19), которое тогда имело вид

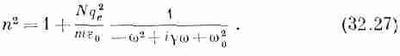
Формула (32.25) после подстановки w из (32.6) дает

Что здесь нового? Во-первых, появился новый член igw, возникший в результате учета поглощения энергии в осцилляторах. Во-вторых, слева вместо n теперь стоит n2и, кроме того, отсутствует дополнительный множитель 1/2. Но заметьте, что если значение N достаточно мало, так что n близок к единице (как это имеет место в газе), то выражение (32.27) говорит, что n2 равен единице плюс некое малое число, т. е. n2=1+e. При этом условии мы можем написать, что n=Ц(1+e)»l+e/2, и оба выражения оказываются эквивалентными. Таким образом, наш новый метод дает для газа тот же самый, найденный нами ранее результат.