Фейнмановские лекции по физике. 7. Физика сплошных сред - Страница 12
Ознакомительная версия. Доступно 14 страниц из 70.Теперь по аналогии с нашим утверждением о временной компоненте потока скалярной величины можно ожидать, что вместе c Sxx,Sxyи Sxz, описывающими поток x-компоненты импульса, должна быть и временная компонента Sxt, которая по идее должна бы описывать плотность того, что течет, т. е. Sxtдолжна быть плотностью х-компоненты импульса. Таким образом, мы можем расширить наш тензор по горизонтали, включив в него t-компоненты, и в нашем распоряжении оказываются:
Sxt— плотность x-компоненты импульса,
Sxx — поток z-компоненты импульса в направлении оси х,
Sxy — поток y-компоненты импульса в направлении оси у,
Sxz — поток z-компоненты импульса в направлении оси z.
Аналогичная вещь происходит и с y-компонентой; у нас есть три компоненты потока: Syx, Syyи Syz, к которым нужно добавить четвертый член:
Syt — плотность y-компоненты импульса,
а к трем компонентам Szx, Szyи Szzмы добавляем
Szt — плотность z-компоненты импульса.
В четырехмерном пространстве у импульса существует также и t-компонента, которой, как мы знаем, является энергия. Так что тензор Sijследует продолжить по вертикали с включением в него Stx, Styи Stz, причем
Stx — поток энергии в направлении оси х, Sty — поток энергии в направлении оси у, (31.28) Stz — поток энергии в направлении оси z,
т. е. Stx— это поток энергии в единицу времени через поверхность единичной площади, перпендикулярную оси х, и т. д. Наконец, чтобы пополнить наш тензор, нужна еще величина Stt, которая должна быть плотностью энергии. Итак, мы расширили наш трехмерный тензор напряжений до четырехмерного тензора энергии-импульса Smv. Индекс m может принимать четыре значения: t, х, у и z, которые означают «плотность», «поток через единичную площадь в направлении оси х», «поток через единичную площадь в направлении оси y» и «поток через единичную площадь в направлении оси z». Значок v тоже принимает четыре значения: t, х, у, z, которые говорят нам, что же именно течет: «энергия», x-компонента импульса», «y-компонента импульса» или же «z-компонента импульса».
В качестве примера рассмотрим этот тензор не в веществе, а в пустом пространстве с электромагнитным полем. Вы знаете, что поток энергии электромагнитного поля описывается вектором Пойнтинга S=e0c2EXВ. Так что х-, у- иz-компоненты вектора S с релятивистской точки зрения являются компонентами: Six, Stни Stzнашего тензора энергии-импульса. Симметрия тензора Sijпереносится и на временные компоненты, так что четырехмерный тензор Smv тоже симметричен:
Smv=Svm. . (31.29)
Другими словами, компоненты Sxt, Syt, Szt, которые представляют плотности х-, у- и z-компонент импульса, равны также х-, у- и z-компонентам вектора Пойнтинга S, или, как мы видели раньше из других соображений, вектора потока энергии.
Оставшиеся компоненты тензора электромагнитного напряжения Smvтоже можно выразить через электрическое и магнитное поля Е и В. Иначе говоря, для электромагнитного поля в пустом пространстве мы должны допустить существование тензора напряжений, или, выражаясь менее таинственно, потока импульса электромагнитного поля. Мы уже обсуждали это в гл. 27 (вып. 6) в связи с уравнением (27.21), но тогда мы не входили в детали.
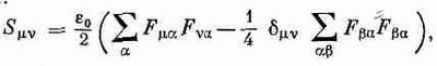
Тем из вас, кто хочет испытать свою удаль на четырехмерных тензорах, может понравиться выражение для тензора Smvчерез поля:

где суммирование по a и b проводится по всем их значениям (т. е. t, x, у и z), но, как обычно в теории относительности, для суммы S и символа d принимается специальное соглашение. В суммах слагаемые со значками х, у, z должны вычитаться, а dtt=+1, тогда как dxx.=dуу = dzz=-1 и dmv=0 для всех m№v (с=1). Сможете ли вы доказать, что эта формула приводит к плотности энергии Stt=(e0/2)(E2+B2) и вектору Пойнтинга e0ЕXВ? Можете ли вы показать, что в электростатическом поле, когда В=0, главная ось напряжения направлена по электрическому полю и вдоль направления поля возникает натяжение (e0/2)E2и равное ему давление в направлении, перпендикулярном направлению поля?
* Если не полагать с=1, как это делается здесь, то плотность энергии в принятых в книге единицах будет равна (e0/2)(E2+с2B2) или в единицах СИ 1/2[e0E2+(l/m0)B2]. — Прим. ред.
* Эту работу, затраченную на создание поляризации электрическим полем, не нужно путать с потенциальной энергией —p0*Е постоянного дипольного момента p0 в поле Е.
* Обычно для коэффициентов пропорциональности между Р и Е пользуются термином тензор восприимчивости, оставляя термин поляризуемость для величин, относящихся к одной частице. Прим. ред.
* В гл. 10, следуя общепринятому соглашению, мы писали Р=e0cЕ и величину c (хи) называли «восприимчивостью». Здесь же нам удобнее пользоваться одной буквой, так что вместо e0c мы будем писать a. Для изотропного диэлектрика a=(c-1)e0, где c — диэлектрическая проницаемость (см. гл. 10 §4 вып.5)
Глава 32
ПОКАЗАТЕЛЬ ПРЕЛОМЛЕНИЯ ПЛОТНОГО ВЕЩЕСТВА
§ 1. Поляризация вещества
§ 2. Уравнения Максвелла в диэлектрике
§ 3. Волны в диэлектрике
§ 4. Комплексный показатель преломления
§ 5. Показатель преломления смеси
§ 6. Волны в металлах
§ 7.Низкочастотное и высокочастотное приближение глубина скин-слоя и плазменная частота
Повторить: всё что в табл. 32.
§ 1. Поляризация вещества
Здесь я хочу обсудить явления преломления света, ну и, разумеется, его поглощение плотным веществом. Теорию показателя преломления мы уже рассматривали в гл. 31 (вып. 3), но тогда наши знания математики были весьма ограничены и мы остановились только на показателе преломления веществ с малой плотностью наподобие газов. Но физические принципы, приводящие к возникновению показателя преломления, мы там все же выяснили. Электрическое поле световой волны поляризует молекулы газа, создавая тем самым осциллирующие дипольные моменты, а ускорение осциллирующих зарядов приводит к излучению новых волн поля. Это новое поле, интерферируя со старым, изменяет его. Изменение поля эквивалентно тому, что происходит сдвиг фазы первоначальной волны. Из-за того что сдвиг фазы пропорционален толщине материала, эффект в целом оказывается эквивалентным изменению фазовой скорости света в материале. Прежде, когда рассматривалось это явление, мы пренебрегали усложнениями, возникающими от таких эффектов, как действие новой измененной волны на поле осциллирующего диполя. Мы предполагали, что силы, действующие на заряды атомов, определяются только падающей волной, тогда как на самом деле на осциллятор действует не только падающая волна, но и волны, излученные другими атомами. В то время нам еще было трудно учесть этот эффект, поэтому мы изучали только разреженные газы, где его можно считать несущественным.