Фейнмановские лекции по физике. 6. Электродинамика - Страница 5
Ознакомительная версия. Доступно 9 страниц из 43.(15.27)
Как обычно, мы полагаем l= l/2p, где l — длина волны, отвечающая пространственному изменению амплитуды вероятности. Для простоты рассмотрим лишь те значения х, которые много меньше L; тогда можно будет принять
и
(15.28)
Когда х равно нулю, то и d равно нулю; волны находятся в фазе, а вероятность имеет максимум. Когда d равно п, волны оказываются в противофазе, интерферируя деструктивно, и вероятность достигает минимума. Так электронная интенсивность получает волнообразный вид.

Теперь мы хотим сформулировать тот закон, которым в квантовой механике заменяется закон силы F=qvXВ. Этот закон будет определять собой поведение квантовомеханических частиц в электромагнитном поле. Раз все происходящее определяется амплитудами, то закон должен будет объяснить, как сказывается на амплитудах влияние магнитного поля; с ускорениями же частиц мы больше никакого дела иметь не будем. Закон этот состоит в следующем: фазу, с какой амплитуда достигает детектора, двигаясь по какой-то траектории, присутствие магнитного поля меняет на величину, равную интегралу от векторного потенциала вдоль этой траектории, умноженному на отношение заряда частицы к постоянной Планка. То есть
Если бы магнитного поля не было, то наблюдалась бы какая-то определенная фаза прибытия. Если же где-то появляется магнитное поле, то фаза прибытия возрастает на величину интеграла в (15.29).
Хотя для наших теперешних рассуждений в этом нет необходимости, заметим все же, что влияние электростатического поля тоже выражается в изменении фазы, равном интегралу по времени от скалярного потенциала j со знаком минус:

Эти два выражения справедливы лишь для статических полей, но, объединив их, мы получим правильный результат для любого, статического или динамического, электромагнитного поля. Именно этот закон и заменяет собой формулу F= q(E+vXВ). Мы сейчас, однако, будем говорить только о статическом магнитном поле.

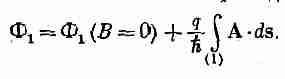
Положим, что опыт с двумя щелями проводится в магнитном поле. Мы хотим узнать, с какой фазой достигают экрана две волны, пути которых пролегают через две разные щели. Их интерференция определяет то место, где окажется максимум вероятности. Фазу волны, бегущей по траектории (1), мы назовем Ф1; а через Ф1 (В = 0) обозначим фазу, когда магнитного поля нет. Тогда после включения поля фаза достигает величины
(15.30)
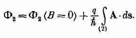
Аналогично, фаза для траектории (2) равна

(15.31)
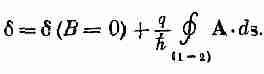
Интерференция волн в детекторе зависит от разности фаз
Разность фаз в отсутствие поля мы обозначим d (В = 0); это та самая разность, которую мы подсчитали в уравнении (15.28). Кроме того, мы замечаем, что из двух интегралов можно сделать один, идущий вперед по пути (1), а назад — по пути (2); этот замкнутый путь будет обозначаться (1—2). Так что получается

(15.33)
Это уравнение сообщает нам, как под действием магнитного поля изменяется движение электрона; с его помощью мы можем найти новые положения максимумов и минимумов интенсивности.
Прежде чем сделать это, мы хотим, однако, поставить один интересный и важный вопрос. Вы помните, что в вектор-потенциальной функции есть некоторый произвол. Две разные вектор-потенциальные функции А и А', отличающиеся на градиент Сy некоторой скалярной функции, представляют одно и то же магнитное поле (потому что ротор градиента равен нулю). Они поэтому приводят к одной и той же классической силе qvXВ. Если в квантовой механике все эффекты зависят от векторного потенциала, то какая из многих возможных А-функций правильна?
Ответ состоит в том, что в квантовой механике продолжает существовать тот же произвол в А. Если в уравнении (15.33) мы заменим А на А' = А+Сy, то интеграл от А превратится в

Интеграл от Сy вычисляется по замкнутому пути (1—2); но интеграл от касательной составляющей градиента по замкнутому пути всегда равен нулю (по теореме Стокса). Поэтому как А, так и А' приводят к одним и тем же разностям фаз и к одним и тем же квантовомеханическим эффектам интерференции. И в классической, и в квантовой теории важен только ротор 4; любая функция А, у которой ротор такой, как надо, приводит к правильной теории.
Тот же вывод становится очевидным, если мы используем результаты, приведенные в гл. 14, § 1. Там мы показали, что контурный интеграл от А по замкнутому пути равен потоку В через контур, в данном случае потоку между путями (1) и (2). Уравнение (15.33) можно, если мы хотим, записать в виде
где под потоком В, как обычно, подразумевается поверхностный интеграл от нормальной составляющей В. Результат зависит только от В, т. е. только от ротора А.
Но раз результат можно выражать и через В и через А, то может создаться впечатление, что В удерживает свои позиции «реального» поля, а А все еще выглядит искусственным образованием. Но определение «реального» поля, которое мы вначале предложили, основывалось на идее о том, что «реальное» поле не смогло бы действовать на частицу на расстоянии. Мы же беремся привести пример, в котором В равно нулю (или по крайней мере сколь угодно малому числу) в любом месте, где частицы могут оказаться, так что невозможно представить себе, что В непосредственно действует на них.
Вы помните, что если имеется длинный соленоид, по которому течет электрический ток, то поле В существует внутри него, а снаружи поля нет, тогда как множество векторов А циркулирует снаружи соленоида (фиг. 15.6). Если мы создадим такие условия, что электроны будут проходить только вне соленоида (только там, где есть А), то, согласно уравнению (15.33),

соленоид будет все же влиять на их движение.
Фиг. 15.6. Магнитное поле и векторный потенциал длинного соленоида.
По классическим же воззрениям это невозможно. По классическим представлениям сила зависит только от В. Чтобы узнать, течет ли по соленоиду ток, частица должна пройти сквозь него. А квантовая механика утверждает, что наличие магнитного поля в соленоиде можно установить, просто обойдя его, даже не приближаясь к нему вплотную!
Представьте, что мы поместили очень длинный соленоид малого диаметра прямо тут же за стенкой между двумя щелями (фиг. 15.7). Диаметр соленоида должен быть намного меньше расстояния d между щелями. В этих обстоятельствах дифракция электронов на щели не приведет к заметным вероятностям того, что электроны проскользнут где-то близ соленоида. Как же все это повлияет на наш интерференционный эксперимент?