Фаэты. Рассказы о необыкновенном - Страница 116
— Прекрасно! — задумчиво повторил граф.- Попробуем перевести твою надпись еще раз. На математический язык. И сопроводим это чертежом на этой тысячелетней пыли.
И граф, взяв у Детрие долото, нарисовал им на пыльном полу камеры чертеж, говоря при этом:
— Колодец — это прямой цилиндр. Два жестких прута (тростинки), один длиной два метра, другой — три, приставлены к основанию цилиндра, скрещиваясь на уровне предполагаемой воды в одном метре от дна. Легко понять, что сумма проекций на дно цилиндра мокрых или сухих частей тростинок будет равна его диаметру — наидлиннейшей прямой, содержащейся в ободе Колодца Лотоса, как говорится на языке жрецов.
— Мы обнаружили остатки ободов колодца, но сами они, увы, не сохранились.
— А жаль! Можно было бы вычислить длину царского локтя, которая поныне остается загадкой.
— Ты можешь вычислить?
— Если ты меня замуруешь здесь.
— Ты шутишь? Замуровать тебя?
— Конечно! Я уже считаю себя замурованным. Я мысленно возвожу в проеме каменную стену. Ты можешь оставить меня здесь. Я не проглочу ни крупинки еды, не выпью ни капли влаги, даже вина… пока не решу древней задачи. Жди моего сигнала в окошечке «Свет-воздух». Считай, здесь написано: кто не думает, тот не ест… ни фигур, ни пешек.- И он весело подмигнул.
Детрие знал чудачества своего друга и не стал с ним спорить. Он оставил математика в каменной комнате, напоминавшей склеп, наедине с древней задачей жрецов. Интересно, имел ли шансы шахматист и математик двадцатого века пройти испытание на сан жреца Ра четырехтысячелетней давности?
Выйдя в просторный зал, Детрие оглянулся. Ему показалось, что вынутые его рабочими гранитные плиты каким-то чудом снова водрузились на место, превратив стену зала в сплошной монолит. Археолог даже затряс головой, чтобы отогнать видение.
Во всяком случае, математик имел право на уединение для решения сложной задачи, которая археологу оказалась не по плечу.
Детрие вышел на воздух. Пахнуло жаром. Солнце стояло над головой. До обеда было еще далеко. Детрие вздохнул, представляя накрытый стол.
Проводник в бурнусе держал под уздцы двух лошадей, укрыв их в тени. По Нилу плыли лодки с высоко поднятой кормой и загнутым носом. В небе — ни облачка.
Детрие сел в тень и погрузился в раздумье. В его воображении вставали жрецы Ра, владевшие математическим аппаратом лучше,, чем он, человек двадцатого века, окончивший Сорбонну.
Что происходило в каменном склепе Колодца Лотоса с замурованными там претендентами на служение богу Ра? Сначала из окошечка просовывался камень с выбитыми на нем цифрами, может быть и неверными. Потом через это отверстие могли доноситься крики, стоны, мольбы умирающих с голоду испытуемых, которым не суждено было стать служителями храма. Не суждено? Нет! Они не смогли ими стать, как не смог бы стать жрецом Ра сам Детрие.
Археолог так живо представил все это себе, что передернул плечами.
Тень от колонны переместилась. Археологу пришлось пересесть, чтобы укрыться от палящих лучей.
Несколько раз он возвращался в зал, граничивший с комнатой Колодца Лотоса. Из нее не раздавалось ни звука.
Мучительно хотелось есть. Детрие, как истый француз, был гурманом. Он рассчитывал вкусно пообедать со своим гостем и никак не ожидал его новой эксцентричной выходки.
Они должны были поехать во французский ресторан мадам Шико. Турки особенно любили посещать его из-за пленительной полноты (в их вкусе) хозяйки. Вчера хозяйка согласовывала с Детрие замысловатое меню, которое должно было перенести друзей на бульвар Сен-Мишель или на Монмартр. Креветки, нежнейшие креветки, доставленные в живом виде из Нормандии, устрицы. И белое вино к ним. Спаржа под соусом из шампиньонов. Буйабесс — несравненный рыбный суп. Бараньи котлеты с луком и картофель по-савойски или бургундские бобы. И вина! Тонкие французские вина, для каждого блюда свои белые или красные. Наконец сыры. Целый арсенал сыров, радующих сердце француза! Это на тот случай, если господа не наелись и хотят закрепить ощущение сытости в желудке. И наконец кофе и сигары во время задушевного послеобеденного разговора…

Ждать уже не было сил. Детрие решил любым способом вызволить друга из заточения и решительно направился к каземату. Однако насилия не понадобилось. Еще не войдя в зал, он услышал стук. Из окошечка выпал камень и лежал теперь перед ним.
Детрие нагнулся, чтобы поднять его.
О боже! На нем медным зубилом были нацарапаны (кощунственно нацарапаны на бесценной реликвии) какие-то цифры…
Детрие, возмущенный до глубины души, поднял камень и прочитал: «d = 1,231 меры»!
В «замурованном проеме» стоял сияющий граф де Лейе. Его узкое бледное лицо, казалось, помолодело.
Археолог с упреком протянул ему камень:
— Ты исцарапал реликвию!

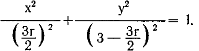
— Иначе мы не смогли бы обедать,- обескураживающе заявил математик и улыбнулся совсем по-мальчишески.- Боюсь, что ты, археолог, не больше древних жрецов разбираешься в аналитической геометрии. Но все же смотри. Войдем в склеп. Я все написал там на полу. Назовем длину мокрой части короткой тростинки через r. Теперь представим, что тростинка скользит одним концом по вертикали, а другим — по горизонтали (по дну колодца). Из высшей математики известно, что точка на расстоянии r будет описывать эллипс. Я записал уравнение этого эллипса. Вот оно:

— Теперь все очень просто,- продолжал граф де Лейе.- Нужно решить это уравнение для у = 1 и х = rІ- 1- величина проекции мокрого отрезка длинной тростинки. Получаем уравнение. Правда, четвертой степени, к сожалению:
5r - 20rі + 20rІ — 16r + 16 = 0
Как тебе нравится? Красивое уравнение?
Детрие почесал затылок, рассматривая чертеж на пыльном полу и написанные на нем формулы, и с сомнением произнес:
— И такие уравнения решали древнеегипетские жрецы?
— Ничего не могу сказать. Совершенная загадка! Нам, математикам двадцатого века, решить такие уравнения под силу только потому, что, к нашему счастью, формулы для корней такого уравнения были получены в XVI веке итальянским математиком Феррари, учеником Кардано.
— И ты решил?
— Конечно! Считай меня отныне жрецом бога Ра. Диаметр колодца равен 1,231 метра, то есть меры. К сожалению, мы не знаем, какая она была! Дай мне найденные здесь ободы, и я скажу тебе, каково численное выражение этой меры в современном исчислении. Скорее всего, это был неведомый царский локоть древних египтян.
— Увы, я уже признался тебе, что ободы не сохранились, так же как и тростинки. Именно поэтому ты не сможешь стать жрецом Ра.
— Как так? — возмутился граф де Лейе.
— В надписи сказано, что жрецом станет тот, кто, решив задачу и сообщив ответ, выйдет из камеры с тростинками. А тростинок у тебя нет. Какой же ты жрец?
И оба француза расхохотались.
Проводник уступил свою лошадь археологу, и ученые поехали к ресторану мадам Шико.
— Дорого бы я дал за то, чтобы узнать,- сказал математик,- как они умудрялись три с половиной тысячи лет назад решать уравнение четвертой степени?
— А может быть, у них был какой-то другой способ? — усомнился археолог.
— Ты шутишь! — рассмеялся граф де Лейе.- Это невозможно! — И он пришпорил лошадь.
Глава третья
ИЗБРАННИК ПРЕКРАСНЕЙШЕЙ
Когда жрецы с бритыми головами без париков ввели черноволосого юношу в «Зал Стены», его охватила дрожь.
На гранитной плите грозной преградой перед ним встала надпись.
Он познавал жуткий смысл иероглифов, и колени его подгибались. Если бы Прекраснейшая знала, на что он обречен! Своей божественной властью Она спасла бы его, отвратила бы от него неизбежную гибель, уготовленную бессовестными жрецами, так обманувшими Ее!…