Эволюция и прогресс - Страница 25
В некоторых случаях фенотипическая дисперсия популяции равна средовой. Это происходит тогда, когда генотипы всех особей идентичны. Таковы популяции многих растений, размножающихся бесполым путем — корневищами, побегами и т. д. Среди животных (некоторых рачков, коловраток и даже ящериц) известны клоны партеногенетических самок — потомков одной особи основательницы. Наконец, генетики и селекционеры любят работать с так называемыми изогенными (чистыми) линиями. Особи этих линий (если пренебречь редкими мутациями) генетически идентичны. Тем не менее, как бы мы ни старались выровнять условия среды, нам не удастся добиться полной идентичности их фенотипа.
Дело в том, что онтогенез включает в себя массу многостадийных взаимодействующих между собой процессов, при этом каждая последующая стадия возникает как следствие вполне конкретной предыдущей. Несмотря на хорошую защищенность онтогенеза от внешних воздействий, факторы среды в какой-то мере способны воздействовать на течение любого частного процесса, что может сказаться на прохождении всех последующих стадий и привести к изменению величины любого из многих количественных признаков. Кроме того, протекание многих стадий определяется регуляторными молекулами, число которых относительно невелико, а поэтому подвержено флуктуациям статистического характера. Нельзя же допустить, чтобы все регуляторы были, в свою очередь, регулируемы. Следовательно, сама сложность онтогенеза предопределяет далеко не абсолютную воспроизводимость фенотипа взрослых особей. Традиционно фенотипическую изменчивость генетически идентичных особей называют средовой.
Итак, эффект среды на признак можно рассматривать как сумму большого числа легких толчков, направляющих его развитие с равной вероятностью как в сторону увеличения, так и в сторону уменьшения. В итоге в популяции формируется распределение по признаку, близкое к нормальному. Эти толчки не сдвигают среднего значения признака, которое олицетворяет собой «цель» развития признака, его генотипическое значение. Отсюда вытекает, что среднее значение количественного признака в группе изогенных особей можно рассматривать как его генотипическое значение, которое каждый организм как бы пытается реализовать в ходе своего развития. Тогда как величина средовой дисперсии олицетворяет собой уровень «шума среды», «мешающего» особи реализовать «цель» ее генотипа. Теперь попробуем оценить вклад в фенотипическую изменчивость наследственной компоненты.
Гибридологический анализ количественных признаков
Допустим, мы имеем дело с двумя изогенными линиями Р1 и Р2, принадлежащими одному виду. Несмотря на одинаковые условия среды, их средние значения могут сильно различаться, особенно если линии выделены из географически удаленных популяций. Мы исходим из того, что число генов в геномах сравниваемых линий одинаково, поэтому наследственные различия между ними вызваны разным набором аллелей одних и тех же локусов. Представим себе чисто условно, что в генотипе линии Р1 (с маленьким значением признака) собраны «слабые» аллели, которые будем обозначать строчными буквами, а в генотипе линии Р2 (с большим значением признака) — «сильные» аллели, для их обозначения будем применять прописные буквы.
Пусть разница средних значений признака двух изогенных линий обусловлена отличием в силе аллелей только одного локуса. Тогда генотип линии Р1 обозначим аа, а генотип линии Р2 — АА. Примем еще одно упрощающее условие: пусть по степени доминирования оба аллеля (а и А) равны (h = 0,5). Теперь введем представление об эффекте аллельного замещения. Будем считать, что замещение одного слабого аллеля на сильный увеличивает генотипическое значение признака на α единиц. Тогда замещение обоих слабых аллелей на сильные увеличит это значение на 2α единиц. Вспомним, что генотипическое значение признака равно его среднему значению у особей с одинаковым генотипом, т. е.
символ < > означает среднее значение признака в линии.
Проведя массовые скрещивания особей таких линий, получим популяцию гибридов F1:

Все особи популяции F1 имеют один и тот же генотип аА, поэтому изменчивость признака в данном случае обусловлена исключительно средой. Будем считать, что средовая дисперсия для всех популяций (F1, P1 и Р2) одинакова и равна σe2. Среднее значение признака у особей F1 (обозначим его т) должно равняться генотипическому значению гетерозигот аА, т. е. оно должно на α единиц превосходить среднее значение особей линии P1 и настолько же уступать среднему значению особей Р2. Иными словами, m попадает точно в середину интервала между средними значениями признака обеих родительских популяций. Тогда средние значения признака всех рассмотренных популяций можно представить как
Итак, m, m — а и m + а — генотипические значения признака у особей с генетической конституцией аА, аа и АА соответственно.
Перейдем к популяции F2, возникшей или при самооплодотворении, или при панмиктическом скрещивании особей из F1:

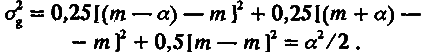
Из этой схемы видно, что вся совокупность особей F2 разбивается на три генотипических класса; каждый из них можно охарактеризовать его долей в выборке и средним значением признака. Одна четверть особей имеет генотип аа, другая четверть — генотип АА и половина — генотип аА. Поскольку средние значения признака у особей с этими генотипами равны соответственно m — а, m + а и m, то по (4.3) и (4.4) легко рассчитать среднее значение (М) и дисперсию (σg2) для распределения особей по генотипическим классам:

Таким образом, популяция F2 обладает дисперсией (а2/2), обусловленной различием особей по генотипу. Кроме того, из-за «шума» среды популяция обладает и средовой дисперсией σe2. Этот шум не сдвигает средних значений, поэтому
Теперь попробуем рассмотреть более общий случай, когда особи двух изогенных линий различаются аллелями n несцепленных локусов. По-прежнему будем считать, что все слабые аллели собраны у линии P1, а все сильные — у линии Р2. Проведем их скрещивание:

При оценке среднего значения популяции F1 сделаем два предположения: во-первых, по степени доминирования все аллели равны и, во-вторых, замещение в каждом локусе одного слабого аллеля на сильный увеличивает генотипическое значение признака на одну и ту же величину а. Следовательно, разность средних значений родительских популяций должна быть равна 2na, а среднее значение признака в популяции F, (обозначим его