Если бы числа могли говорить. Гаусс. Теория чисел - Страница 3
Известно, что отец Гаусса был человеком резким, чрезвычайно порядочным, его строгость по отношению к сыну часто граничила с грубостью. Порядочность и упорство позволили Гауссу-старшему добиться некоторого бытового комфорта, но жизнь семьи не была легкой. Родитель не поддерживал стремление сына заниматься наукой и даже не понимал, как важно для него было получить образование, соответствующее способностям мальчика. Если бы мнение отца возобладало, талантливый юноша занялся бы одной из семейных профессий, и только ряд счастливых совпадений спас будущего математика от участи простого садовника или каменщика. В детстве Карл Фридрих был очень послушным. Он никогда не критиковал своего отца, но вполне ожидаемо, что и настоящей привязанности к нему не чувствовал. Гебхард Гаусс умер в 1806 году.
Семья матери ученого происходила из Фельпке, маленького города в Нижней Саксонии, рядом с Брауншвейгом. Доротея Бенце отличалась живым, веселым и сильным характером. Она умерла в очень почтенном возрасте — 97 лет, и последние 20 лет своей жизни прожила вместе с заботливым сыном в Гёттингене. Доротея всегда поддерживала сына в учебе и очень гордилась его научными достижениями. Рассказывают, что когда Вольфганг Бойяи (1775-1856), один из лучших друзей ученого, уверил ее, что Карл Фридрих войдет в историю как один из самых великих математиков, женщина расплакалась от радости.
Ни один из родителей ученого не получил более или менее приличного образования: отец едва умел читать и писать и немного знал элементарную арифметику. В старости Гаусс хвалился тем, что считать научился раньше, чем писать, а чтение освоил самостоятельно, разбирая по буквам письма от родственников и друзей семьи. Он сам рассказывал историю, которая говорит о его ранних математических способностях.
В три года, наблюдая за тем, как отец рассчитывает зарплату наемным работникам, мальчик заметил ошибку и сказал, каким должен быть результат. Гебхард пересчитал цифры и обнаружил, что сын прав. Это тем более удивительно, учитывая, что малыша никто не учил числам и тем более сложению. Мать Гаусса с трудом читала, а писать не умела вовсе, но при этом ученый никогда не чувствовал особой близости к отцу и всю жизнь утверждал, что унаследовал свои способности от матери.
Не знание, а процесс обучения, и не обладание, а ощущение того, что ты пришел к чему-то, доставляют наибольшее наслаждение.
Карл Фридрих Гаусс
Наиболее достоверная информация о немецком математике начинается с 1784 года, когда юный Карл поступил в начальную школу. В те времена это не было обычным занятием для детей, но в городе встречалось все же чаще, чем в селах, так что в этом смысле Гауссу очень повезло. Повезло ему и в другом: мальчик встретил необычайно талантливого учителя, который опекал его в первые годы обучения. Заслуга Бюттнера в том, что он вовремя заметил огромный талант Гаусса и выделял его среди более чем 50 одноклассников. В 1786 году учитель за свой счет даже запросил из Гамбурга специальные арифметические тексты для выдающегося воспитанника. Ассистентом Бюттнера в те годы работал Мартин Бартельс (1769-1836), который был всего на восемь лет старше Карла Фридриха. Позже Бартельс стал преподавателем математики в Казанском университете. Он также быстро заметил гениальность Гаусса и уделял мальчику пристальное внимание. Можно сказать, что они учились вместе, помогая друг другу расшифровывать учебники по алгебре и элементарному анализу. В те годы и начали зарождаться некоторые идеи и способы видения математики, ставшие позже характерными для Гаусса. Из учебников Бартельса юноша узнал о биноме Ньютона для нецелых показателей и бесконечных рядах, в эти же годы он сделал первые шаги в математическом анализе. Любопытно, что в Казанском университете Бартельс преподавал Николаю Лобачевскому (1792-1856), который впоследствии занялся разработкой неевклидовой геометрии — области, основоположником которой был именно Гаусс.
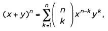
В сотрудничестве со своим учителем Мартином Бартельсом молодой Гаусс получил новое доказательство бинома Ньютона с натуральными коэффициентами, то есть формулу, которая позволяет вычислить степень двучлена:


Это число сочетаний n по k, а n! = Πni-1i называется факториалом числа, и он равен произведению этого числа на все натуральные числа меньше него.
Известна история, из которой видно, насколько легко давались Гауссу арифметические вычисления. Когда мальчику было девять лет, учитель Бюттнер предложил своим ученикам сложить сто первых натуральных чисел, будучи уверенным в том, что это займет класс достаточно долго, а он в это время сможет отдохнуть. Обычно ученики, решив задачу, вставали и клали доску с решением перед учителем. И вот в то время как остальные ученики едва приступили к заданию, Гаусс уже положил свою доску на стол учителя, воскликнув: Ligget se! («Вот оно!»). Бюттнер подумал, что Гаусс просто дерзит ему, но когда он посмотрел на доску, то обнаружил, что на ней записан правильный ответ — 5050, причем не было приведено ни одного этапа вычислений. Учитель подумал, что каким-то образом проговорился об ответе, но тут юный Карл объяснил ход своих рассуждений. Гаусс не стал решать проблему в лоб, просто складывая слагаемые (к тому же при этом легко было допустить ошибку), а предпочел нестандартный подход. Он быстро понял, что первое число (1) и последнее (100) в сумме дают то же самое значение (101), что второе число и предпоследнее, и это рассуждение можно продолжить, то есть 1 + 100 = 2 + 99 = 3 + 98 = ... = 50 + 51 = 101. Образовались 50 пар чисел, которые в сумме давали 101 и произведение которых было равно 5050.
Гаусс, сам того не понимая, применил формулу суммы членов арифметической прогрессии. Арифметическая прогрессия — это ряд таких чисел, в котором разность между двумя любыми последовательными членами является постоянной, и эта величина называется разностью прогрессии, просто разностью или шагом. В проблеме, предложенной Гауссу, разность была равна 1. Выражение суммы арифметической прогрессии довольное простое: если члены нашей последовательности — это a1 а2,..., аn, то сумма Sn равна:


Если мы подставим в предыдущую формулу n= 100, то получим 5050, чего и следовало ожидать.
Доказательство формулы можно получить разными методами, одни из них интуитивны, например использование пар чисел с одинаковой суммой, как это сделал Гаусс, но в более формальном доказательстве обычно используется принцип индукции. Этот метод заключается в том, чтобы доказать, что натуральное число п обладает определенными свойствами, а затем обосновать, что если ими обладает любое натуральное число, то же происходит и со следующим.
Сила математического доказательства в том, что мы можем утверждать: эта формула верна для суммы любого ряда натуральных чисел. Если бы мы использовали для вычислений самые быстрые современные компьютеры и увидели бы, что формула выполняется, это не дало бы нам абсолютной уверенности: всегда можно было бы подумать, что остались числа, для которых наше утверждение не проверено, и с ними оно может не выполняться. В этом и заключается один из главных вкладов Гаусса в науку: утверждения должны иметь строгое доказательство. До его работ в математике было много созерцательного, утверждения основывались на конкретных примерах, существовали понятийные белые пятна и неполные доказательства. Однако Гаусс не публиковал свои работы, пока не получал как можно более строгого доказательства, при этом в своих записях он обычно не приводил полный ход рассуждений и этим затруднял их понимание для современников. Представление ученого о математических трудах требовало доведения их до совершенства, при этом он считал, что приведение подробных доказательств делает его работу не такой безупречной, ведь ее можно сравнить с демонстрацией готового здания, рядом с которым все еще стоят строительные леса, необходимые только на этапе строительства.