Если бы числа могли говорить. Гаусс. Теория чисел - Страница 22
Неудивительно, что Гаусс посвятил свои последние годы улучшению этого результата в поисках более точной и лучше обоснованной с точки зрения математики формулы. Так возникла проблема вычисления вероятностей. Было очевидно, что по мере увеличения N вероятность найти простое число уменьшается. Идея состояла в том, чтобы воспользоваться вероятностями, основанными на выражении
1/ln(N)
Результат Гаусса получил новое выражение:

На самом деле эта формула была небольшой модификацией предыдущей; ученый обозначил ее Li(N) и назвал интегральным логарифмом N; выражение было более точным, поскольку в нем ряд сумм заменялся интегралом, то есть бесконечной суммой. Итак, выражение, заданное Гауссом, имело вид:

Гаусс предположил: π(Ν) = Li(N), что известно как гипотеза Гаусса о простых числах, которая, как мы увидим, превратилась в теорему Гаусса о простых числах. Так немецкий математик снова превзошел Лежандра, хотя для того чтобы доказать его открытие, потребовался огромный технический прогресс в вычислении простых чисел. Чтобы проверить свою гипотезу, Гаусс много времени посвятил построению таблиц простых чисел. В возрасте более 70 лет он написал астроному Иоганну Энке (1791-1865): «Очень часто я пользовался четвертью часа отсутствия дел, чтобы находить простые числа с промежутками размером в тысячу». Что и говорить, весьма оригинальный способ отдыхать! Но благодаря ему Гауссу удалось определить количество простых чисел, меньших 3000000, и он выяснил, что разница по сравнению с результатом его интегральной функции едва равна 0,0007 %. Когда появились более обширные таблицы простых чисел, обнаружилось, что формула Лежандра была гораздо менее точной и давала заметную погрешность для чисел больше 10000000.
С помощью современных методов вычислений было выяснено, что результат Гаусса для простых чисел меньше 1016 отличается от верного значения едва на одну десятимиллионную от 1 %, в то время как результат Лежандра дает отклонение в несколько тысяч миллионов раз больше. Мы можем утверждать, что Гаусс, основываясь на рассуждениях математического характера, превзошел Лежандра, который просто подобрал формулу для доступных ему данных.
Кроме этой первой гипотезы о том, что функция π(Ν) может быть точно оценена функцией Li(N) для бесконечных значений N, Гаусс вывел и вторую гипотезу, поскольку считал, что функция Li(N) в конце концов будет переоценивать реальное количество простых чисел (всегда на бесконечно малый процент) и что эта тенденция будет сохраняться. Это второе утверждение получило название второй гипотезы Гаусса. Доказать ее или опровергнуть было непростой задачей, поскольку в то время еще не было современных компьютеров, которые могли совершить необходимые вычисления. Подтвердить или опровергнуть гипотезы Гаусса можно с помощью строгого математического доказательства: нельзя ограничиться экспериментальным подтверждением, поскольку какой бы длинной ни была составленная таблица простых чисел, всегда будут сомнения в том, сохранится ли эта тенденция по мере продвижения ко все большим числам. Для математики возможности экспериментальной проверки на невообразимо больших числах недостаточно, и в этом ее отличие от других наук.
В проверке гипотез Гаусса заметную роль играл Бернхард Риман, которого можно назвать его лучшим учеником.
В 1809 году Вильгельм фон Гумбольдт (1767-1835) стал министром образования Пруссии и совершил революцию в образовательной системе. Изучение математики впервые получило большое значение в новых гимназиях и университетах, студентов воодушевляли изучать математику как таковую, а не только в качестве вспомогательной дисциплины на службе у других наук. Но эта тенденция весьма отличалась от французского подхода, в котором превалировало утилитарное знание. Одним из тех, кому удалось воспользоваться этим изменением, был Риман, на тот момент один из самых способных студентов-математиков в Германии. После окончания учебы в Люнебурге (государство Ганновер), следуя желанию своего отца-священнослужителя, он в 1846 году поступил в Гёттингенский университет, который славился преподаванием теологии. Так судьба свела Римана с уже пожилым Гауссом. Через некоторое время молодой студент убедил своего отца разрешить ему заменить изучение теологии на математику. Риман в течение двух лет учился в Берлинском университете, поскольку в Гёттингене, по его мнению, было мало интеллектуальных стимулов, помимо Гаусса. В Берлине он завязал общение с Дирихле, который предложил студенту первые задачи с простыми числами. Во время пребывания в Берлине Бернхарду удалось изучить записи Гаусса с гипотезами о простых числах.
Риман вернулся в Гёттинген в 1849 году, чтобы закончить докторскую диссертацию и отдать работу на оценку своему учителю, Гауссу. Он сделал это в 1854 году, за год до смерти наставника.
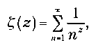
Когда Риман начал заниматься простыми числами, нужно было доказать еще две гипотезы Гаусса. Во-первых, что функция π(Ν) может быть точно выражена Li(N) для любого N, то есть что разница между ними является бесконечно малой, таким образом, ее предел стремится к нулю. И во-вторых, что Li(N) > π(Ν) для любого значения Ν. Чтобы взяться за проблему, Риман ввел знаменитую дзета-функцию, которая определяется следующим образом:

где z — комплексное число, отличное от 1. У этой функции есть значения, в которых она равна нулю, такие как z = -2, z = -4 и другие, известные под названием тривиальных нулей. Нетривиальные нули — это те, для которых действительная часть строго больше нуля, но строго меньше 1. Вспомним, что комплексное число всегда имеет вид а + bi где а и b — действительные числа. Итак, для нетривиальных нулей справедливо 0 < а < 1.
Риман своим определением всего лишь обобщил функцию, изученную Эйлером, который обозначил ее так же:

Разница между дзета-функцией Римана и функцией Эйлера состоит в области определения. Для Эйлера х имеет действительное значение, в то время как у Римана z — комплексное число. Следовательно, функция Эйлера принимает действительные значения, в то время как функция Римана принимает комплексные значения.
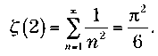
Интерес математиков к этой бесконечной сумме, известной как ряд, происходит из мира музыки, и этот ряд появился раньше исследований Эйлера, хотя именно он изучил его наиболее глубоко и нашел связь с простыми числами. Пифагор заметил, что звук, издаваемый сосудом с водой, зависит от количества содержащейся в нем жидкости. Оказалось, что звуки гармоничны, если количество воды является частью от целого, дробью с числителем 1, то есть 1, 1/2, 1/3, 1/4, ... Пифагор назвал этот ряд гармоническим. Сумма гармонического ряда равноценна тому, что в дзета-функции Эйлера х взяли равным 1. Можно доказать, что сумма этого ряда бесконечна. На первый взгляд это очевидный результат, поскольку если мы сложим бесконечное количество положительных чисел, сумма будет расти и в конце концов примет бесконечное значение. Но дело в том, что это не так: для х = 2 ряд расходится. Действительно, Эйлер доказал, что значение

В истории математики не всегда было ясно, будет ли сумма бесконечного числа положительных членов обязательно равна бесконечности, и даже появились философские теории, посвященные этому.
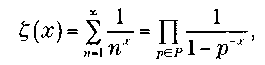
Первый большой результат, связывающий дзета-функцию с простыми числами, был получен Эйлером в 1737 году. Он утверждает, что

где х — действительное число, а Р — множество простых чисел. В формуле сумма заменяется произведением дробей, образованных простыми числами. Чтобы дойти до этого результата,