Если бы числа могли говорить. Гаусс. Теория чисел - Страница 17

Карикатура на Лежандра, созданная в 1820 году французским художником Луи-Леопольдом Бальи.
Кроме вычисления пространственных орбит, как мы увидим далее, метод наименьших квадратов имеет большой потенциал применения в других областях математики, особенно в статистике. Решение уравнений методом наименьших квадратов зависит от данных о функции ƒ, связывающей переменные, которые нам известны, и от сложности этой функции. Самый простой случай — когда функция имеет вид прямой, то есть Y = а + bХ. Вычисление параметров а и b получается простым расчетом на основе n пар двумерных данных (х1, y1), (х2, у2),..., (xn, yn). После применения техники наименьших квадратов получаем, продифференцировав и приравняв к нулю, уравнения, известные под названием нормальных уравнений:


откуда выводятся значения a и b:

где Cov(X, Y) — это ковариация переменных, Sx² и x — вариация и среднее значение переменной X, соответственно, а у — среднее значение переменной Y. Итоговую прямую называют регрессионной прямой. Такие вычисления позволяют определить возможное значение одной переменной на основе известного значения другой. Представим, что мы выбрали n индивидов, у которых пропорция между весом и ростом нормальная. На основе этих n пар данных мы делаем вычисления соответствующей регрессионной прямой. С помощью этого уравнения мы можем определить средний ожидаемый вес человека, зная его рост, — это вычисление используется по сей день. Рассмотрим следующую таблицу данных.
| Рост | Вес |
| 170 | 68 |
| 172 | 70 |
| 174 | 71 |
| 175 | 72 |
| 177 | 73 |
| 180 | 76 |
| 182 | 80 |
| 185 | 82 |
| 186 | 83 |
| 187 | 84 |
| 190 | 85 |
| 193 | 85 |
| 194 | 86 |
Проведя вычисления для получения регрессионной прямой, получаем, что Y= 0,808Х - 68,912, где Υ — вес, а Х — рост. На графике на следующей странице представлены реальные точки и регрессионная прямая, вычисленная методом наименьших квадратов. Прямая позволяет нам спрогнозировать средний вес человека с ростом 179 сантиметров: Υ = 0,808 · 179-68,921 = 75,71.
Чем сложнее функция ƒ, тем сложнее вычисления, но тем большую точность мы получаем в итоге.
Значительная часть статистики — это формулирование предположений, то есть извлечение выводов о параметрах аудитории на основе репрезентативной выборки. Эти выводы получены с помощью функции выборки, называемой статистической оценкой, которая предполагает оценку поведения целевой аудитории. Для статистического предположения принципиальную роль играет теорема Гаусса — Маркова. В ней утверждается, что при выполнении определенных гипотез статистическая оценка, полученная методом наименьших квадратов, является оптимальной.

Представление точек и регрессионной прямой, вычисленной методом наименьших квадратов.
Как мы уже сказали, в 1807 году Гаусс вернулся в Гёттинген в должности директора астрономической обсерватории. Хотя он интересовался астрономией всю жизнь и это даже уменьшило вклад ученого в традиционную математику, именно на первые годы в Гёттингене приходятся его наибольшие усилия, посвященные доработке имеющихся трудов по астрономии и созданию новых. В 1809 году Гаусс опубликовал свою самую важную астрономическую работу — «Теория движения небесных тел». В ней содержатся полученные им заключения, но, как и ранее, не всегда приведены методы их получения.
Книга была опубликована на латыни, хотя первый вариант Гаусс написал на немецком. Издатель счел, что труд в латинском варианте получит большее распространение. Главная тема работы — определение эллиптических и гиперболических орбит планет и комет при использовании минимального числа наблюдений без дополнительных предположений. В предисловии Гаусс напоминает о вычислении орбиты Цереры, которое принесло ему такую славу. Книга носит явный дидактический характер и включает многочисленные примеры применения. Она разделена на две части: в первой содержится теоретический материал, а во второй — решения общей проблемы. Это первое строго сформулированное применение законов Кеплера для вычисления орбит небесных тел. До открытий Гаусса, таких как метод наименьших квадратов, астрономы пользовались методами, которые от случая к случаю варьировались, и не искали общего правила. Основной вклад Гаусса состоит в сочетании теоретических знаний, необыкновенной легкости алгебраических вычислений и его практического опыта в астрономии. В отличие от своих предшественников (включая Исаака Ньютона, который решал подобные проблемы с помощью геометрического приближения), Гаусс не предполагает знание формы орбиты наблюдаемого объекта. Это затрудняет вычисления, но позволяет подойти к проблеме, не зная, является ли изучаемый объект планетой, кометой или астероидом, что нелегко определить при небольшом объеме наблюдений.
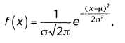
Гаусс не был открывателем кривой, носящей его имя. Нормальное распределение, или кривая Гаусса, также известная как Гауссов колокол в статистике, была описана Абрахамом де Муавром (1667-1754) в статье 1733 года, за много лет до рождения героя нашей книги. Функция плотности нормального распределения (она описывает вероятность нахождения значения переменной в определенном множестве), которая естественным образом появляется при изучении поведения реальных явлений, имеет вид:

где μ и σ² — это среднее значение и дисперсия распределения. Их представление показано на следующем рисунке при μ = 0.

Имя Гаусса фигурирует в названии этого распределения по двум причинам: с одной стороны, ученый широко использовал нормальное распределение при изучении ошибок экспериментов, когда анализировал астрономические данные, а с другой стороны, существует тип функций, называемых гауссовыми (в честь Гаусса), среди которых нормальное распределение — частный случай при

В нормальном распределении большинство значений переменной группируется вокруг центрального значения, поэтому в нем график достигает наибольшей высоты. Чем больше мы отдаляемся от него, тем меньше вероятность нахождения данных, поэтому график убывает при отдалении от значения средней величины.