Энциклопедия ВИН ЧУН КУНГ-ФУ. Кн.5. Техника шеста "Лук Дим Бук Гунь" - Страница 8

Переместите правую ногу вперед, принимая стойку Сюй Бу.
Выполните блокирующее движение Тан Гунь (рис. 154).

Не меняя стойку, выполните круговое вращение шестом против часовой стрелки (рис. 155).

Шагните правой ногой вперед, примите стойку Ма Бу и нанесите прямой протыкающий удар Бил Гунь (рис. 156).

Развернитесь на 180° влево, нанося удар Тарн Гунь в горизонтальной плоскости (рис. 157).

Переместите правую ногу по дуге вперед и примите стойку Ма Бу. Нанесите прямой протыкающий удар Бил Гунь в верхний уровень (рис. 158).

Переместитесь назад, используя переднескрестный шаг. Перемещение необходимо совершить прыжком (рис. 159, 160).


Нанесите прямой протыкающий удар Бил Гунь (рис. 161).

Подтяните правую ногу к левой, принимая исходное положение (рис. 162).

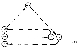
На этом комплекс «ЛУК ДИМ БУК ГУНЬ» завершен. Схема перемещений изображена на рисунке 163.
