Энциклопедия радиолюбителя - Страница 94
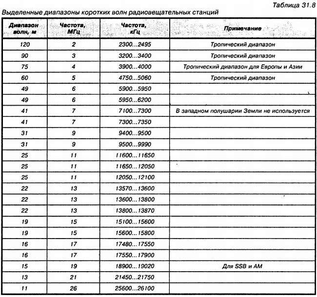
Что касается радиостанций Латинской и Южной Америки, то их удается услышать ранним утром. Приемная аппаратура для приема DX тропических диапазонов должна быть высокочувствительной, так как мощности вещающих радиостанций небольшие и диапазон очень подвержен различного рода радиопомехам. В настоящее время для радиовещания на коротких волнах выделены диапазоны, приведенные в табл. 31.8.

Отметим, что в последнем десятилетии конца 20 века международное KB-вещание использовалось более чем 130 государствами. В частности, США, Россия, Великобритания обеспечивали вешание в КВ-диапазонах в течение 6000 часов на различных частотах на всех языках больших народов и на многих языках малых народов. Основной тенденцией развития KB-вешания в настоящее время является расширение используемых частотных полос. Это связано с появлением недорогих KB-приемников с непрерывной настройкой от 3 до 30 МГц, освобождением частотных полос занимаемых различными службами вследствие появления спутниковых систем и малым развитием радиолюбительской связи в некоторых государствах.
Ультракороткие волны, излучаемые радиовещательными радиостанциями, обычно принимаются в пределах прямой видимости, на расстоянии 100…150 км от передатчика средней мощности. На высокочувствительный УКВ-радиоприемник с внешней антенной, имеющей усилитель, можно принять радиопередачу от радиостанции со значительной мощностью, если она расположена на расстоянии 200…300 км. Помимо этого, благодаря рассеиванию верхних неоднородных слоев атмосферы, УКВ могут достигать антенн радиоприемников удаленных от радиостанции на расстоянии более 300 км. При этом, мы имеем дело с так называемым тропосферным приемом. При использовании высококачественной приемной радиоаппаратуры и тропосферного приема иногда возможен регулярный дальний прием УКВ-станций (рис. 31.21).

Рис. 31.21. Разновидности дальнего приема УКВ
УКВ при отражениях от различных слоев ионосферы в некоторых случаях способны распространяться на очень большие расстояния порядка 1000…2500 км, если они отражаются от спорадического слоя Es, а при отражении от вышерасположенного слоя F2 — на 2500…5000 км. Сигналы после таких отражений в некоторых случаях имеют большую силу. В этих случаях прием УКВ удается вести на обычные антенны и радиоприемники. Прием сигналов от слоя F2 имеет нерегулярный характер и происходит на частотах до 80…100 МГц с мая по июль месяцы. Явление отражения УКВ от слоя F2 на частотах до 50…55 МГц происходят в годы максимума солнечной активности, зимой, в дневное время. Длительный DX прием, УКВ-радиостанций, основывается на приеме слабого сигнала с помощью высокочувствительной приемной аппаратуры и высокоэффективных антенн.
В северных районах России осенью и зимой в момент появления полярного сияния возможен нерегулярный и кратковременный DX прием УКВ. Полярное сияние происходит на высоте 90…100 км в результате свечения разряженных слоев атмосферы под действием протонов и электронов, проникающих в нее из космоса. Сигнал радиостанции, отраженный от полярного сияния, может быть принят от нее на расстоянии более 1500 км. Для приема такого сигнала необходимо использовать высокочувствительный приемник и высокоэффективную антенну, так сила сигнала очень мала. Аналогичный характер имеет DX прием УКВ через метеоритные потоки. Метеориты испаряются, в основном, на высоте 80…170 км над поверхностью Земли. Дальность метеоритной связи возможна до 2000 км.
Резюмируя, можно сказать, что дальний ионосферный прием УКВ очень похож на прием коротких волн (КВ), наиболее устойчивый прием с небольшими замираниями характерен для наиболее высоких принимаемых частот. Такой же прием наблюдается в начальной и завершающей фазах прохождения сигнала. При этом между этими фазами прием неустойчивый с большими интерференциями и селективным федингом. Характер прохождения представляет собой подобие двухгорбой характеристики. Прохождение начинается в 9…10 утра и ослабевает до минимума к 12 часам. Второй максимум наступает вечером, приблизительно в 17… 19 часов. Первым признаком прохождения является появление удаленных радиостанций, а ближе к середине времени прохождения начинают приниматься ближние радиостанции.
Окончание прохождения происходит в обратном порядке. Наблюдения показывают, если прохождение закончилось очень поздно, то следующим утром можно ожидать его продолжения. Иногда прохождение может происходить несколько дней подряд, а потом исчезнуть на длительный промежуток времени. Наиболее благоприятный прием бывает, когда появляется малоподвижный ионизированный слой Es небольших размеров, отражающий сигналы станций только из ограниченной площади местности. При «навальном» прохождении в приемнике наблюдается сплошная интерференция. Слой Es состоит из неравномерного скопления по горизонтали электронных облаков, расположенных на высоте 120…130 км. Он постоянно перемещается со средней скоростью приблизительно 300 км/час. Этот слой называют спародическим, так как время его существования не превышает нескольких часов. Замечено, что слой Es обладает способностью оказывать существенное влияние на распространение КВ и УКВ.
Следует отметить, что причины дальнего DX приема УКВ полностью пока еще не раскрыты. Замечена связь между началом дальнего УКВ прохождения и предгрозового фронта. Объяснить это можно, по всей видимости тем, что в верхних слоях атмосферы, расположенных ближе к ионосфере, возникают неоднородные по плотности и температуре слои, которые способствуют отражению радиоволн. Этому способствует и грозовая деятельность, приводящая к ионизации слоев. Приведенные предположения подтверждаются тем фактом, что летнее Es-прохождение почти не зависит от фазы 11-летнего периода солнечной активности.
Для обнаружения дальнего прохождения на УКВ, необходимо включить радиоприемник и пройтись по свободным частотам. Если вы хорошо знаете частоты станций, вешающих в данной местности, то при наличии прохождения легко обнаружить радиостанции ранее не принимавшиеся в данное время. Такие радиостанции обычно принимаются с сильным замиранием и с интерференцией от других станций или собственного сигнала, пришедшего на радиоприемник со сдвигом по фазе. О появившейся возможности дальнего прохождения УКВ можно так же судить косвенно, в частности, по улучшению характера радиоприема на частотах свыше 20 МГц, относящихся к КВ-диапазону. Радиовещание на УКВ в разных странах мира ведется на различных частотных диапазонах (табл. 31.9).

Заметим, что отечественная (01RT) и зарубежная (CCIR) системы радиовещания на УКВ отличаются не только диапазонами, но и спектром комплексного стереосигнала (КСС). У каждой системы стереовещания своя конструкция стереодекодера. В России УКВ-вещание ведется в двух частотных поддиапазонах: отечественном и заграничном. В волновом расписании, публикуемом в прессе обычно их условно обозначают как, УКВ — отечественный, a FM — заграничный, а на шкалах радиоприемников пишется FM1 и FM2 или УКВ и FM.
Средние волны (СВ) диапазона частот 520…1602 кГц распространяются как пространственным, так и поверхностным лучом. Распространение этих волн зависит от степени ионизации атмосферы. Днем на СВ можно принимать радиостанции находящиеся на расстоянии до 1000 км. Ночью дальность приема гораздо больше чем днем, что связано с воздействием Солнца. Протекающие в атмосфере процессы в различное время суток также оказывают влияние на поглощение энергии радиоволн слоями ионосферы. Ночью не происходит поглощения энергии радиоволн слоем D, так как он исчезает и отражение радиоволн происходит от более высокого слоя Е, что и обуславливает большую дальность приема на СВ ночью.