Эйнштейн - Страница 16
13 мая Эйнштейны переехали на Безеншвенгештрассе, 28. А 30 июня была окончена (опубликована 26 сентября) знаменитая статья «К электродинамике движущихся тел», в которой изложены основы специальной теории относительности (ее называют СТО, а позже будет еще общая теория относительности - ОТО), где Максвелловы лампочки и намагниченные опилки должны были непротиворечиво сойтись с мчащимися поездами и самолетами.
Перед нами вновь встает проблема языка. Описать процесс работы физикатеоретика так, чтобы его понял гуманитарий, невозможно. Одно дело - примитивно растолковать, «про что» теория относительности, перевести ее на детский язык: + вот стоит человечек на железнодорожной насыпи, светит фонариком; но это не даст нам никакого представления о мышлении ученого. Да, Эйнштейн говорил, что толчком послужила мысль о человеке, оседлавшем солнечный луч, но потомто он еще год думал и пять недель писал статью… Легко описать, как трудился Дарвин: препарировал жуков и дохлых кур, расспрашивал людей, как передается характер козы и почему улыбаются младенцы, и увидеть, как из этого рождается научная мысль, самим ученым облеченная в понятные слова: «Если мы позволим себе увлечься догадками, то животные - наши собратья по боли, болезни, смерти, страданию и чувству голода, наши рабы в выполнении самых тяжелых работ, наши товарищи в забавах - могут вместе с нами происходить от общего предка, все мы можем быть связаны воедино».
У математиков, теоретических физиков все подругому. Эйнштейн мыслил, как сам сказал, «психическими сущностями», «более или менее четкими изображениями», которые носят «мышечный» характер. Но даже сами математики не могут напрямую обмениваться «мышечными ощущениями» - они переводят их на свой язык, язык знаков, что уже ближе к человеческому, но как понять его, не будучи математиком? Просто посмотрите, не вникайте…


Нет, такой язык нам не годится - нужен язык слов. Такой? «В этот раз он попытался доказать теорему соответственных состояний (лоренцковариантность) для неоднородных уравнений Максвелла - Лоренца. При преобразовании уравнений для скоростей он допустил ошибку, в результате чего не получил ковариантности для членов выше первого порядка». Опять не тот язык! Не понимаем! Может, взять язык музыки, раз они с математикой так схожи?
![]()
Увы, в музыке мы можем оценить итоговую красоту, но творческий процесс остается столь же темным. Как неспециалист поймет, что это фрагмент сонаты Моцарта? Что тут красивого? Как думал человек, писавший эти значки? Какими «мышечными ощущениями»? Нам доступен лишь один язык - литературный. Но никто до сих пор не создал литературного языка, адекватно описывающего «мышечные ощущения» математика. Единственное, что мы находим в мировой литературной копилке - язык Томаса Манна, описывающий создание музыки; язык, демонстрирующий, как творец преобразует некие расплывчатые ощущения в гармонию - то бишь в уравнение…
«Вдумайся: энергичнейшая, разнообразнейшая, захватывающая смена свершений, движение событий - только во времени, путем членения времени, его заполнения, организации, но все как бы перенесенное в конкретнодейственное по повторному трубному сигналу извне… Как все здесь схвачено и повернуто, поставлено, как подведено к теме, чтобы потом отойти от нее, раствориться, а в этом растворении уже готовится нечто новое, простой переход становится плодоносной завязью, так что не остается ни одного пустого, ни одного слабого места, ритм незаметно преобразуется, набегает новая волна подъема, со всех сторон вбирая в себя новые притоки, стремительно нарастает, разражается бурным триумфом, и это триумф в себе, триумф как таковой… Благозвучная мелодия уже приближается к высшей точке, которую, однако, в согласии с законом экономии на первый раз еще обходит; она от нее уклоняется, приберегая ее для дальнейшего, идет на спад, оставаясь прекрасной… Некоторое время умно и очаровательно орудует композитор этой песенкой, он ее расчленяет, всматривается в отдельные детали, преобразует их, в среднем регистре возникает прелестное сочетание звуков и возносится в волшебные выси, где царят скрипки и флейты, недолго реет там и в миг, когда достигает наивысшей пленительности, слово вторично берет приглушенная медь, сызнова звучит хорал, он выступает на первый план, не внезапно, как в начале, нет, он делает вид, будто его мелодия уже соприсутствовала в немудрящей песенке и теперь он благоговейно движется к высшей своей точке, от которой в первый раз так мудро уклонился, дабы из груди слушателей вырвалось это „ах“, дабы еще сильнее сделался наплыв чувств, теперь, когда хорал уже неудержимо устремился вверх, мощно поддерживаемый гармоническими звуками басовой трубы, и, осиянный, достиг вершины, чтобы тотчас же, словно бы оглядываясь со сдержанным удовлетворением на им содеянное, с честью допеть себя до конца!» [16]
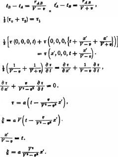
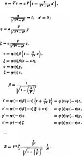
И вот нечто подобное физик должен выразить на языке:

И увенчать его чемнибудь типа

А еще надо понимать, в каких условиях физик работал - да, ему много не надо, бумага да карандаш (Эйнштейн обычно писал сидя в кресле, держа бумагу на колене и разбрасывая по полу исписанные листы), но - маленький ребенок… Ганс Альберт Эйнштейн: «По словам матери, он прекрасно умел ухаживать за детьми. Когда она была занята по дому, он откладывал в сторону свои занятия и часами нас нянчил, обычно держа на коленях… Он продолжал работать как ни в чем не бывало, никакой шум не мог ему помешать». «Я продумывал так много научных планов, пока возил тебя в коляске!» - из письма отца Гансу в июне 1918 года. Студент Эйнштейна Давид Рейшинштейн вспоминал, как навестил его однажды, когда тот сидел с детьми, потому что Милева была занята стиркой: «С философским видом он одной рукой подталкивал колыбель, где лежал младенец (жена Эйнштейна в это время возилась на кухне). Во рту у Эйнштейна была скверная, очень скверная сигара, в свободной руке открытая книга. Печка отчаянно дымила. Господи, как он мог все это выносить?» Как? А попробуйте представить:
«…в среднем регистре возникает прелестное сочетание звуков и возносится в волшебные выси, где царят скрипки и флейты, недолго реет там и в миг, когда достигает наивысшей пленительности, слово вторично берет приглушенная медь, сызнова звучит хорал, и теперь он благоговейно движется к высшей своей то…»
«…дорогая, где у нас пеленки, так что же, ах, к высшей своей то… дай же пеленку, я просил… сейчас, сейчас, к высшей своей то… ладно, я сам возьму… сейчас, сейчас, к высшей своей…
![]()
…точке, от которой в первый раз так мудро уклонился, дабы из груди слушателей вырвалось это „ах“»! (И перепеленать успели.)
А теперь, если мы хоть в малейшей степени представили, как работает физиктеоретик, творя гармонию, вернемся к «детскому» языку, дабы объяснить, что же он в конце концов придумал, в чем заключалось это «ах». Он начал вот с чего: есть динамомашина (которая механической работой производит электрический ток) и есть электромотор, в котором, напротив, от тока получается механическая работа, и эти два очень похожих прибора в книгах описываются на основе разных законов: электричество само по себе, механика сама по себе. Но должны быть единые законы для всего.