До предела чисел. Эйлер. Математический анализ - Страница 25
следует отметить, что каждый член вида х2 - λ2π2 справа равен нулю. А это происходит, только если
1 - х2/(λ2π2) = 0.
Запишем члены правого выражения в следующей форме:
x - x3/3! + x5/5! - x7/7! + ... = K(x)(1 - x2/π2)(1 - x2/4π2)(1 - x2/9π2)...
Теперь разделим на x:
sinx/x = 1 - x2/3! + x4/5! - x6/7! + ... = K(1 - x2/π2)(1 - x2/4π2)(1 - x2/9π2)...
И, поскольку limx→0(sinx/x) = 1, получим, что K = 1. Итак:
1 - x2/3! + x4/5! - x6/7! + ... = (1 - x2/π2)(1 - x2/4π2)(1 - x2/9π2)...
Этот ряд равен бесконечному произведению. Для Эйлера это не проблема. Подсчитаем порядок произведения и выделим члены произведения с x2 в правой части:
- x2/3! = -x2/π2 - x2/4π2 - x2/9π2 - ...
Разделив обе части на -x2/π2, получим
π2/6 = 1+ 1/22 + 1/23 + 1/42 + ...,
что и требовалось доказать.
3. ДЗЕТА-ФУНКЦИЯ И ПРОСТЫЕ ЧИСЛА
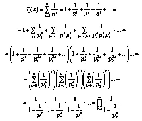
Эйлер был первым математиком, доказавшим тождественность ζ($) как ряда степеней и ζ($) как бесконечного произведения. Назовем рк простое число, занимающее место k в ряде. Получим

Ниже можно увидеть, каким образом получается это равенство:

Для тех, кто знаком со сложным анализом, дзета-функция может быть расширена до мероморфной во всей комплексной области с простым полюсом s = 1, где остаток равен 1. Это дзета-функция, о которой говорил Риман и которая стала предметом его знаменитой гипотезы.
4. УРАВНЕНИЯ ЭЙЛЕРА — ЛАГРАНЖА
Чтобы упростить, насколько это возможно, наше объяснение, оттолкнемся от предположения, что задействованные в нем функции удовлетворяют всем необходимым условиям на производную и непрерывность.
Обозначим через S функционал (функцию функций), к которому мы применим вариационное исчисление, а через x1, х2 — экстремумы неизвестной функции:
S(ƒ) = ∫x1x2L(x1,ƒ(x),ƒ'(x))dx.
Предположим, что решением является ƒ0 и что функционал имеет здесь минимум; назовем α(x) функцию (которую мы будем "варьировать"), равную нулю в экстремумах x1, х2. Поскольку в ƒ0 функционал имеет минимум,
S(ƒ0)≤S(ƒ0+εα)
в окрестности ƒ0. Вариационный размах
ƒ = ƒ0 + εα
должен удовлетворять:
dS(ƒ0 + εα)/dε|ε=0 = ∫x1x2dL/dε|ε=0 = 0
Теперь вспомним, что
dƒ/dε = α,dƒ'/dε = α'.
Применим правило дифференцирования и проведем необходимые замены.
Получим
dL/dε = ∂L/∂ƒ dƒ/dε + ∂L/∂ƒ' dƒ'/dε = (∂L/∂ƒ)α + ∂L/∂ƒ'α'
A теперь проинтегрируем по частям и учтем предыдущую формулу:

Поскольку выражение слева — ноль, то нулем будет и выражение справа. Следовательно,
dL/dƒ = d/dx ∂L/dƒ' = 0
Таким образом, мы получили уравнения Эйлера — Лагранжа, которые в приложениях обычно приводят к дифференциальным уравнениям второго порядка.
5. КОМПЛЕКСНЫЕ ЧИСЛА
Эйлер вывел свою фундаментальную формулу, из которой впоследствии получил еще несколько из простых рядов Тейлора. Напомним, что степени ведут себя так:
i0 = 1,i1 = i,i2 = -1,i3 = -i,
i4 - 1, i5 = i, i6 = 1,i7 = i и так далее.
Напомним также, что ряды степеней е и тригонометрических функций синус и косинус раскладываются в ряд Тейлора или степенной ряд следующим образом:
ex = x0/0! + x1/1! + x2/2! + x3/3! + x4/4! + ...
cosx = x0/0! + x2/1! + x4/4! + x6/6! + ...
sinx = x1/1! + x3/3! + x5/5! + x7/7! + ...
Произведем вычисления:
eix = (iz)0/0! + (iz)1/1! + (iz)3/3! + (iz)4/4! + (iz)5/5! + (iz)6/6! + (iz)7/7! + (iz)8/8! + ... = z0/0! + i(z1/1!) + z2/2! + i(z3/3!) + z4/4! + i(z5/5!) + z6/6! + i(z7/7!) + z8/8! + ... = (z0/0! + z2/2! + z4/4! + z6/6! + z8/8! + ...) + i(z1/1! + z3/3! + z4/4! + z6/6! + z8/8! + ...).
6. КРИПТОГРАФИЯ И МАЛАЯ ТЕОРЕМА ФЕРМА
Пусть М — сообщение, а С — зашифрованное сообщение (или криптограмма). Предположим, что оба они — натуральные числа. Обозначим через ƒ функцию, которая преобразует М в С: ƒ(M) = С. Чтобы зашифровать М, выбирают два очень больших простых числа, р и q, и определяют модуль, который мы назовем n, так что n = pq и n > М. Выберем такое е, что 1 < е < φ(n), а е и φ(n) взаимно простые числа. Открытый ключ состоит из n и е, и он всем известен. Поскольку n — очень большое число, узнать значение р и q невозможно. Мы имеем E = ƒ(M) ≡ Me (mod n). Назовем закрытым ключом пару n, d, где d выбрано так, что de ≡ 1 (mod φ(n)). Поскольку ρ и q — простые числа, a pq = n, получим, что φ(n) = (р - 1)(q - 1); если мы не знаем p и q, а узнать их фактически невозможно, то мы не можем узнать и φ(n). Следовательно, мы не можем узнать d. Но у получателя есть значение d, следовательно, он знает р и q и может перейти к расшифровке сообщения: Ed ≡ (Me)d (mod n) ≡ Мed (mod n) ≡ MNφ(n)+1 (mod n), N € Ν. Теперь применим малую теорему Ферма. Если а = MN (a и n почти стопроцентно взаимно простые), то, применяя теорему, мы получаем: Ed ≡ Маφ(n) (mod n) ≡ M (mod n) = M, поскольку М < n, как мы договорились в начале.
Из этого объяснения видно, что создать ключ расшифровки довольно легко, поскольку нужны всего два больших простых числа, р и q, а разложить его, напротив, очень трудно.
Список рекомендуемой литературы
Bell, Е.Т., Los grandes matemdticos, Buenos Aires, Losada, 2010.
Boyer, C., Historia de la matematica, Madrid, Alianza Editorial, 2007.
Bradley, R., et Sandifer, E. (editores), Leonhard Euler: life, work and legacy, Amsterdam, Elsevier B.V., 2007.
Dunham, W., Euler, el maestro de todos nosotros, Madrid, Nivola,
2000.
Galindo, A. et al., La obra de Euler: tricentenario del nacimiento de Leonhard Euler (1707-1783), Madrid, Instituto de Espana, 2009.
Stewart, I., Historia de las matemdticos, Madrid, Critica, 2008.
Vargas, G., Calzada, G., Euler, el matemdtico, Madrid, El rompeca- bezas, 2011.
Указатель
Ars conjectandi 125
Dioptricae 141
Institutiones calculi differentialis 8, 3, 103, 107
Institutiones calculi integralis 8, 13, 103, 107
Introductio in analysin infinitorum 8, 13, 28, 31, 34, 51, 103, 104, 106
Principes généraux du mouvement des fl uides 97