Диссертация рассеянного магистра - Страница 13
Таня действительно попятилась к двери, из которой тотчас же вышел Сева — Трак.
— Посмотрите, как много бананов я принёс! — театрально завопил он. — Магистр спит. Единички нет… Положу-ка я бананы на стол. Сколько бананов нашла на столе Единичка? Вспомнил: 12. Стало быть, я съел шесть. Да три отдал обезьянке. 12+6+3=21. Вот сколько бананов прислал мой папа!
— Задача решена, — подытожил Олег. — К сожалению, из-за того, что я проспал, мне достался всего-навсего один банан.
— А мне — целых девять, — похвастался Нулик, — только воображаемых…
После задачи с бананами мы последовали за Магистром, отправляющимся в плавание.
Первым высказался Сева:
— Капитан дизель-электрохода совершенно напрасно ожидал попутного ветра. Его судно ведь не парусник!
— Капитан тут ни при чём, — заявила Таня. — Всё дело в Магистре. Да и чего ждать от человека, который и впрямь считает Тихий океан тихим!
— Но почему-нибудь он да называется Тихим? — спросил Нулик.
Я объяснил ему, что своё название Тихий океан получил 450 лет назад от великого португальца Ферна́на Магелла́на.
Когда Магеллан отправился в своё знаменитое, первое в мире кругосветное путешествие, Великий океан — вероятно, из уважения к отважному мореплавателю — вёл себя на редкость спокойно. Отсюда и прозвище «Тихий», которое далеко не всегда оказывается справедливым.
— Думаю, что электроходу, на котором отплыл Магистр, не страшны были никакие штормы. Ведь это огромное современное судно, на нём умещается много людей, — сказал Олег.
— Да, да, — согласился Сева, — капитан сказал, что число пассажиров, которых он перевёз за 15 лет, так велико, что делится на любое из 15 первых чисел натурального ряда.
— Мало ли чисел, которые делятся на эти пятнадцать! Вся штука в том, что капитан просил Магистра назвать наименьшее из них, — уточнила Таня. — И я подсчитала, что это 360360.
— Как это получилось? — деловито справился Нулик.
— Конечно, я не стала перемножать все 15 первых чисел, как это собирался сделать Магистр. Я просто вычислила их НОК.
— Чего-чего? — Глаза у президента стали совершенно круглыми.
— НОК — Наименьшее Общее Кратное. Для этого я перемножила всего-навсего шесть чисел: 5, 7, 8, 9, 11 и 13.
Выбрав именно эти шесть чисел, Таня поступила совершенно правильно: ведь если число делится на 8, оно разделится и на 2, и на 4. Если оно к тому же делится на 9, значит, делится и на 3, и на 6… И так далее. Таким образом, произведение этих шести чисел даёт число 360360, которое делится на все числа от 1 до 15 включительно.

Нулик начал было проверять, но вскоре запутался и предложил перейти к следующему вопросу — о «Титанике»… Это огромное для своего времени судно затонуло при загадочных обстоятельствах в апрельскую ночь 1912 (а не 1812, как думал Магистр) года в Атлантическом океане, на пути из Европы в Америку. Вода поглотила почти всех находящихся на борту.
Магистр верно указал, что скорость нашего судна достигала 45 узлов, но допустил при этом неточность, сказав, что скорость была 45 узлов в час. Ведь узел — это и есть скорость в часах, так что добавление «в час» здесь ни к чему. Узел — скорость, равная одной морской миле в час. А одна морская миля равна 1852 метрам …
— Что за неровное число! — недоумевал Нулик. — С потолка его взяли, что ли?
Оказывается, не с потолка. Одна морская миля — это средняя длина одной угловой минуты земного меридиана. Ну, а что такое меридиан, знает даже Нулик. В меридиане, как и во всякой окружности, 360 угловых градусов, а в каждом градусе 60 угловых минут. А так как в среднем длина меридиана равна 40 миллионам метров, нетрудно подсчитать, что одна морская миля равна
Вот и получится 1852 метра.
— Век живи, век учись, — вздохнул Нулик. — А я-то думал, что географию знаю на пятёрку. Я ведь очень люблю географию! Не верите? Зря. Когда мы прочитали, что Магистр, плывя вдоль экватора, достиг двадцатого градуса восточной долготы, я подошёл к глобусу и сразу увидел, что место, указанное Магистром, находится в самом центре Африки — в Конго, а вовсе не в море. Магистр из-за жары перепутал все широты на свете.
— А может быть, не из-за жары, а с перепугу? — предположила Таня. — Ведь именно в это время на судно напали пираты.
— Конечно! — поддержал её Сева. — По той же причине изречение Суворова «В бою берут не числом, а умением» наш рассеянный математик приписал Кутузову.
— Так, может, он потому и капитана потерял? — сообразил Нулик.
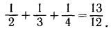
— Вполне вероятно, — сказал Олег. — Ведь разделив пиратов на группы, Магистр не заметил, что
А ведь это больше единицы!
— Очевидно, он хотел драться не с одной четвертью, а с одной шестой частью всех пиратов, то есть с двумя, — подсчитала Таня. — Потому что всего-то пиратов было 12.

— А он вместо двоих связал троих, — засмеялся Сева. — И третьим оказался сам капитан. Вот отчего капитан временно исчез.
Только мы выяснили причину исчезновения капитана, как обнаружили исчезновение Пончика. Ребята заволновались, но Нулик лишь посмеивался.
— Подружились с Магистром и сами стали рассеянными. Вы и не заметили, что я пришёл один, без собаки.
— Это ещё почему?
— Пончик принимает гостей. У него сейчас новый приятель, Кузя. Кузя — это такая лохматая черно-бурая собака. И мне уже пора возвращаться. А то мало ли что натворят эти четвероногие!
— Что ж, — сказал я, — причина уважительная. Через несколько минут мы тебя отпустим. Вот только разберёмся, почему Магистр никак не мог растолковать Единичке, какие две прямые называются взаимно перпендикулярными.
Магистр говорил, что так называются прямые, которые при пересечении образуют прямые углы. И в этом не было бы ничего плохого, если бы вслед за этим Магистр не стал определять прямой угол, как образованный двумя перпендикулярами. Ведь этак можно топтаться на одном месте до бесконечности, ничего по существу не определив!
Можно, конечно, одно понятие выразить через другое. Но тогда уж этому другому понятию надо дать совершенно самостоятельное, независимое от первого определение.
Вот если бы Магистр сказал, что прямым углом называется каждый из двух равных смежных углов, всё было бы в порядке. Впрочем, можно определить прямой угол и через перпендикуляр, но обязательно сказав при этом, что перпендикуляром к прямой линии называется общая сторона двух равных смежных углов.
Правда, в этом случае мы должны были бы заранее знать, что смежными углами называются такие два угла, у которых одна сторона общая, а две другие лежат на одной прямой. А при этом, в свою очередь, необходимо определить, что такое угол. Понятие угла повлечёт за собой необходимость выяснить, что называется прямой линией…
Таким образом у нас получится цепь независимых, но опирающихся друг на друга определений. Есть ли у этой цепи конец? Нет. Как нет конца науке, в которой постоянно появляются новые понятия, вытекающие из предыдущих. Зато начало имеется.
Что же это за изначальные понятия? Это такие простейшие понятия, которые не опираются на предшествующие. Они вытекают из нашего опыта и не могут быть точно определены. Вот хотя бы понятие о геометрической точке. Как мы её изображаем? Ставим на бумаге точку остро отточенным карандашом, не правда ли? Но эта нарисованная точка — всего лишь грубая модель той воображаемой геометрической точки, которая не имеет ни длины, ни ширины, ни высоты, а стало быть, и определения…
Заседание наше закончилось. Все уже распрощались и ушли, как вдруг раздался резкий звонок. Удивлённый, я приоткрыл дверь и увидел раскрасневшегося, запыхавшегося Нулика.