Диссертация рассеянного магистра - Страница 11

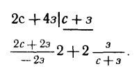
Сразу видно, что частное меньше четырех. Ведь дробь обязательно меньше единицы. А теперь и в делимом и в делителе поменяем слагаемые местами и произведём деление снова:

Теперь оказывается, что частное больше двух. Больше двух и меньше четырех. Значит, оно может быть равно только трём. Стало быть, число страусов и зебр одинаково, то есть с=з.
— Молодчина, — сказал я. — Правда, у этой задачи есть и третье решение, с помощью уравнения. Я бы привёл его, да боюсь, президент совсем скиснет. Кстати, где он?
Действительно, Нулик с Пончиком исчезли. Мы сейчас же отправились на поиски и нашли беглецов у ограды слоновника.
Собственно, нашли мы их благодаря отчаянному лаю Пончика, который, вероятно, подражал знаменитой крыловской Моське. Зато Нулик стоял заворожённый. Он даже не извинился за своё исчезновение.
— Почему у слона такой длинный нос? Кто его вытянул? Стоило немалых трудов вытянуть Нулика из этого вопроса и втянуть в другой, касающийся рассуждений Магистра о кубе.
Оказалось, рассеянный учёный перепутал решительно все. Ведь на самом деле у куба шесть граней и двенадцать рёбер, а не наоборот, зато вершин не четыре, а восемь…
Но окончательно оторвать Нулика от слона можно было только одним способом: пообещав ему знакомство с обезьянами. А уж от обезьян его отвлекло одно совершенно случайное обстоятельство. Мы говорили о том, как Магистр, деля 1212 на 12, потерял нуль и вместо числа 101 получил одиннадцать. Нулик так испугался, как бы и его тоже не потеряли, что больше уже не отходил от нас ни на шаг. Он внимательно следил за вычислениями Севы, который быстро доказал, что два в пятой степени, умноженное на девять в квадрате, как раз и есть 2592.

— Выходит, школьник из рассказа Магистра получил правильный ответ? — спросил президент.
— Как видишь. Это, впрочем, не значит, что способ его решения верен. Здесь, как и в случае с сокращением дробей, произошло курьёзное совпадение, — объяснил Сева.
— Ну, а задача Единички про полкомнаты? — спросил я у президента. — Что ты скажешь о ней?
— Единичка имела в виду не половину комнаты, а её пол, — ответил Нулик, — то есть то, по чему ходят. А площадь комнаты как раз и вычисляют по площади её пола. Выходит, пол комнаты и её площадь одинаковы.
В общем, президент был реабилитирован, и мы перешли к событиям, развернувшимся в Академии наук, где чествовали Магистра.
— Это надо же, — развела руками Таня, — так осрамиться на собственном юбилее, да ещё в присутствии самого Герона! Не суметь извлечь кубический корень!
Тут Нулик попросил разъяснить ему три вещи: во-первых, что значит извлечь кубический корень; во-вторых, почему корень называется кубическим и, в-третьих, что такое корень.
— Да ведь об этом мы тебе ещё из Аль-Джебры писали, — удивился Сева.
Нулик вздохнул:
— Мало ли что! А я вот все перезабыл.
Пришлось Тане напомнить ему, что извлечение корня и возведение в степень — такие же взаимообратные действия, как сложение и вычитание, умножение и деление. Если возвести 7 во вторую степень, то есть умножить его само на себя, то получится 49. Если же из 49 извлечь корень второй степени, снова получится 7. Точно так же можно возвести число в третью степень, или, как говорят, в куб. Для этого число надо умножить само на себя три раза. Так, 73=343. Значит, кубический корень из 343 — это снова 7.
— Спасибо, — поблагодарил Нулик, — уяснил. Так что же там умудрился напутать Магистр?
— Извлекая кубический корень из числа 152, он разбил это число на два слагаемых: 27 и 125. А затем стал извлекать корень третьей степени из каждого слагаемого в отдельности.
— А что, разве нельзя?
Сева даже руками замахал:
— Ни в коем случае! И вот тебе доказательство. У Магистра в ответе получилось 8, но ведь восемь в кубе не 152, а 512.
— Мало того, — добавила Таня, — Магистр уверяет, что 152 и 512 — это одно и то же. Потому, дескать, что от перестановки мест слагаемых сумма не меняется.
— Чудак! — засмеялся Нулик. — Ведь здесь же нет никаких слагаемых. Просто цифры, из которых состоит число.
Напоследок Таня попросила меня рассказать о Героне, — не напутал ли Магистр и здесь чего-нибудь? Я успокоил её: действительно, жил в Александрии такой учёный Герон. Но деятельность его относится уже не к расцвету, а к упадку александрийской эпохи. В то время великие открытия появлялись все реже и реже, а сам Герон занимался больше пересказом и толкованием древних математических сочинений, чем собственными изысканиями. Правда, были у Герона некоторые интересные изобретения. Это он первый изобрёл и счётчик таксомотора, и автомат для воды. Конечно, устроены они были несколько иначе, чем сейчас. Но, садясь в такси или наполняя стакан газированной водой из автомата, не мешает всё-таки вспомнить о Героне Александрийском. Что же касается математических работ Герона, то он в самом деле написал сочинение «Метрика», где изложено правило для приближённого вычисления кубических корней. Так что на сей раз Магистр ничего не перепутал. Не все же ему ошибаться!
ДИССЕРТАЦИЯ РАССЕЯННОГО МАГИСТРА
Бананы и пираты
Да, выбраться из Альфабетагаммы было не просто. Поезда здесь не ходят, а последний рейсовый самолёт давно улетел. Но Единичка заявила, что это очень хорошо. Ей, видите ли, надоело колесить по земле и парить в воздухе. Она хочет плыть по воде.
Единичка как в воду глядела — ведь Альфабетагамма стоит на берегу огромного Тихого океана. И отсюда вот-вот отчалит в кругосветное плавание красивейший в мире дизель-электроход. Но так как океан этот Тихий, то капитан вот уже вторые сутки тщетно ждёт попутного ветра, потому что без ветра судно его плыть не может…
Впрочем, скучать в ожидании отплытия нам не пришлось: жители Альфабетагаммы наперебой приглашали нас к себе. Как человек воспитанный, я не мог им отказать, но не знал, на ком остановить выбор. Единичка мгновенно нашла выход из затруднительного положения. Ей очень понравился человек, который вёл за собой мальчика лет десяти, а на руках держал прелестную обезьянку.
— Пойдёмте в гости к этому человеку, — сказала она мне. — Вы будете отдыхать, а я — играть с мальчиком и обезьянкой.
Она уже знала, что мальчика зовут Трак, а обезьянку — Крак.
Единичка допустила очередную бестактность, сказав громко, что ей очень захотелось бананов. Хозяину дома ничего не оставалось, как пообещать принести огромную кисть спелых бананов. При этом он попросил нас поступить с ними так:
— Три банана отдайте, пожалуйста, Краку — обезьяны очень любят бананы. Остальные разделите на три равные части: для вас, для Единички и для моего шалуна Трака.
В ожидании бананов я прилёг на диван и немедленно уснул. А когда проснулся, в комнате никого не было. Кроме бананов. Бананы лежали на столе.
Как было условлено, я взял три банана и пошёл разыскивать обезьянку, которая мирно играла в соседней комнате.
Увидев бананы, она немедленно выхватила их у меня и тут же принялась уплетать. Вернувшись в свою комнату, я разделил оставшиеся бананы на три части и тоже съел свою треть.
Только я покончил с бананами, как прибежала Единичка и удивилась, почему я не доел своей доли. Я ответил, что оставил ей и Траку, как было уговорено. Но Единичка заахала и сказала, что свою треть давно уже съела. Оказывается, когда я спал, она убегала на улицу искать пропавшего Трака. Не найдя его, вернулась и увидела на столе бананы. Три банана она отдала обезьянке, а остаток разделила на три части и одну часть съела.