Деньги. Кредит. Банки: учебное пособие - Страница 12
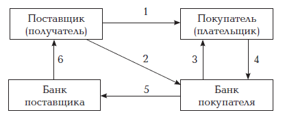
Схема расчетов чеками приведена на рис. 2.7.

1. Направление в банк заявления на выдачу чековой книжки.
2. Бронирование денег на специальном чековом счете и выдача заявителю чековой книжки (или разового чека).
3. Отгрузка товара или оказание услуг.
4. Выписка чека и вручение его поставщику.
5. Передача поставщиком полученного чека в банк.
6. Пересылка чека в банк плательщика.
7. Оплата чека и перечисление денежных средств со счета банка покупателя на счет банка поставщика.
8. Списание денежных средств со счета банка и зачисление средств на счет поставщика.
Рис. 2.7. Схема расчетов чеками
Форма чека, его реквизиты, порядок заполнения определяются законодательством и установленными в соответствии с ним банковскими правилами. Платеж по чеку может быть гарантирован полностью или частично посредством аваля — поручительства, гарантии, согласно которому поручившееся лицо – авалист (обычно банк) принимает на себя ответственность за оплату чека. Аваль – это дополнительная гарантия того, что платеж будет осуществлен.
Расчеты по инкассо представляют собой банковскую операцию, посредствам которой банк (банк-эмитент) по поручению и за счет клиента на основании расчетных документов осуществляет действия по получению от плательщика платежа.
Расчеты по инкассо осуществляются на основании платежных требований, оплата которых может производиться по распоряжению плательщика (с акцептом) или без его распоряжения (без акцепта), и инкассовых поручений, оплата которых осуществляется без распоряжения плательщика (в бесспорном порядке).
Схема расчетов платежными требованиями приведена на рис. 2.8.

1. Отгрузка продукции, оказание услуг.
2. Передача платежного требования вместе с отгрузочными документами в банк покупателя.
3. Передача платежного требования покупателю для акцепта.
4. Получение согласия на платеж.
5. Списание банком суммы оплаты с расчетного счета покупателя и перевод денег в банк поставщика.
6. Зачисление денег на расчетный счет поставщика.
Рис. 2.8. Схема расчетов платежными требованиями
Еще одной формой безналичных расчетов является зачет взаимных требований (клиринг). Клиринг представляет собой систему экономических отношений, при которых денежные претензии (дебиторская задолженность) участников погашаются их же денежными обязательствами (кредиторская задолженность) без использования реальных денег или с их минимальным использованием. Часто в хозяйственной практике между двумя хозяйствующими субъектами возникают взаимные расчеты. В этом случае хозяйствующие субъекты открывают у себя счета взаимных расчетов и периодически (обычно раз в 10 дней) их сверяют. Расчеты производятся по остатку.
Клиринг позволяет значительно уменьшить баланс платежей и общую сумму обращающихся платежных средств, расширяет сферу безналичного оборота и облегчает расчеты. Посредством клиринга упрощаются, удешевляются и ускоряются расчеты, сохраняется имеющаяся денежная наличность.
Клиринговые операции классифицируются по двум признакам:
• по периодичности их проведения;
• по составу участников.
По периодичности проведения взаимозачетов клиринг может быть разовым или постоянно действующим. Разовый клиринг проводится эпизодически по мере накопления дебиторско-кредиторской задолженности. Постоянно действующий осуществляется периодически независимо от состояния денежных обязательств и денежных претензий участников.
По составу участников клиринг осуществляется либо между двумя юридическими (физическими) лицами, либо между их группами, объединенными по отраслевому или территориальному признаку.
Клиринг широко распространен в банковской сфере. Он может проводиться как внутри страны, так и между странами (международный валютный клиринг). Организация межбанковского клиринга в каждой стране зависит от исторических особенностей развития банковской системы, модели ее построения, степени концентрации и централизации банковского дела, политики центрального банка в области денежно-кредитного регулирования экономики.
В зависимости от сферы применения межбанковский клиринг может быть локальным, что означает проведение взаимозачетов между банками одного региона, либо между банками определенной группы, либо между филиалами одного банка, и общегосударственным, что предполагает зачет взаимных требований банковских клиентов в пределах одной страны. В свою очередь, специфика указанных видов межбанковского клиринга проявляется в способах их проведения. Можно выделить клиринг, совершаемый через учреждения Центрального банка РФ и крупнейшие коммерческие банки; через специальные межбанковские организации – расчетные (клиринговые) палаты; через клиринговый отдел (расчетный центр) головного банка.
Гражданский кодекс РФ определяет не только формы безналичных расчетов в РФ, но и регламентирует очередность списания денежных средств со счета при их недостаточности.
При наличии на счете денежных средств, сумма которых достаточна для удовлетворения всех требований, списание этих средств со счета осуществляется в порядке поступления распоряжений клиента и других документов на списание (календарная очередность).
При недостаточности денежных средств на счете хозяйствующего субъекта для удовлетворения всех предъявленных к нему требований списание денежных средств осуществляется в следующей очередности:
– в первую очередь осуществляется списание по исполнительным документам (решениям суда), предусматривающим перечисление или выдачу денежных средств со счета для удовлетворения требований о возмещении вреда, причиненного жизни и здоровью, а также требований о взыскании алиментов;
– во вторую очередь производится списание по исполнительным документам по выплате выходных пособий и оплате труда с лицами, работающими по трудовому договору;
– в третью очередь происходит перечисление или выдача денежных средств для расчетов по оплате труда, а также по отчислениям в государственные внебюджетные фонды (Пенсионный фонд, Фонд социального страхования, Фонды обязательного медицинского страхования);
– в четвертую очередь производятся платежи в бюджет;
– в пятую очередь производится списание по исполнительным документам, предусматривающим удовлетворение других денежных требований;
– в шестую очередь производится списание по другим платежным документам.
Списание средств со счета по требованиям, относящимся к одной очереди, производится в порядке календарной очередности поступления документов.
Дальнейшее совершенствование безналичного денежного обращения, расчетно-платежной системы РФ связано с развитием современных информационных технологий, позволяющих активно использовать электронные носители денег на основе средств телекоммуникаций и защиты информации.
2.3. Организация налично-денежного обращения
Наличное денежное обращение представляет собой непрерывный процесс движения наличных денежных знаков (банкнот и монет) при реализации товаров (работ, услуг) и осуществлении иных видов платежей. В своем движении наличные деньги выполняют все функции денег. Хотя наличное денежное обращение и составляет меньшую долю всего денежного оборота в стране, оно имеет не только экономическое, но и огромное социально-политическое значение, поскольку за счет него формируется большая часть денежных доходов и осуществляются потребительские расходы населения. Состояние наличного денежного обращения оказывает существенное влияние на покупательную способность национальной денежной единицы, соответствие спроса и предложения в экономике.