Целебная фауна - Страница 8
Однако научного подтверждения такое лечение до настоящего времени не получило.
Другое вещество, которое и сегодня применяется в медицине и парфюмерии, называется «спермацет». В чистом виде он находится в особых полостях, расположенных между верхней челюстью и верхушкой лобной части черепа кашалота. Полости эти заключены в спермацетовый мешок из жилистой ткани. После извлечения из мешка спермацет остывает и превращается в твердое белое воскообразное вещество. Его применяют для приготовления пластырей и мазей в косметике. Прибавленный к кремам спермацет придает им более плотную консистенцию и эмульсионные свойства.
Важное значение имеют китообразные для получения витамина А. Печень этих животных по содержанию этого витамина занимает первое место среди морских обитателей, превосходя даже печень трески. Из поджелудочной железы кита добывали гормон инсулин, а из гипофиза — адренокортикотропный гормон. Однако это оказалось нерентабельно и указанные препараты получают из другого сырья
Арсенал биологически активных веществ, выделенных из морских животных, в настоящее время огромен. Изучены их токсичность и химическая структура. Но опыт применения в медицине ограничен, их фармакологические свойства исследованы мало. Несмотря на это, следует надеяться, что еще не один высокоэффективный препарат, источником получения которого послужат морские животные, займет свое заслуженное место среди других лекарственных средств.
Лекарственные амфибии
В настоящее время установлено, что среди земноводных к лекарственным животным можно отнести жаб. Влажная бородавчатая кожа, большой рот, выпученные глаза всегда вызывали в народе суеверный страх и отвращение к этим животным. Еще с древних времен они являлись спутниками ведьм и колдунов и служили средствами магии знахарей. Наиболее изученный представитель этих некрасивых бородавчатых животных был назван К. Линнеем Bufo bufo L.
В европейской части СССР проживают три вида жаб: земная, камышовая и серая (обыкновенная). Последняя встречается наиболее часто и имеет большие размеры, чем зеленая и камышовая.
Давно было замечено, что кожный секрет жаб является ядом для животных. После того как в Австралию были завезены жабы из Южной Америки для защиты посевов от вредителей, часто наблюдалась гибель собак динго после того, как они употребляли их в пищу. То же происходило и с австралийскими змеями. Академик П. С. Паллас писал, что его «охотничья собака после того, как загрызла жабу, тяжело заболела и погибла. До этого у нее после охоты на жаб наблюдалось опухание губ». У собак, которые не занимаются охотой, запах кожных покровов жаб вызывает отвращение. Так, например, А. Брэм писал: «Стоит только подержать жабу перед носом хорошо воспитанных собак, как одна морщит нос и кожу лба и отворачивает голову, другая поджимает хвост и ее ничем нельзя заставить снова приблизиться».
Имеются описания отравления жабьим ядом и у людей. Известный французский медик Амбруаз Паре в 1575 г. писал: «Недалеко от Тулузы два купца во время прогулки по саду нарвали листьев шалфея и положили их в вино. Выпив вино, они вскоре почувствовали головокружение и впали в обморочное состояние; появилась рвота и холодный пот, пульс пропал, и быстро наступила смерть. Судебное следствие установило, что в том месте сада, где произрастал шалфей, водилось множество жаб; отсюда было сделано заключение, что отравление последовало от яда жаб, попавшего на указанное растение». Наблюдались случаи отравления людей в Аргентине, когда они закладывали за щеку шкуру жабы для лечения зубной боли. После того, как боль утихала, больной засыпал, а к утру оказывался мертвым.
С лечебной целью жабий яд применяется издавна. Порошок, полученный из жабьих шкур в виде гладких круглых темно-коричневых чешуек, применялся в Китае под названием «Чан-Су», а в Японии — «Сен-Co». Внутрь его применяли при водянке, для улучшения сердечной деятельности, а наружно в виде лепешек как средство от зубной боли, воспаления придаточных пазух носа и кровоточивости десен.
На Гуцульщине, чтобы избавиться от «пропасницы» (какую болезнь подразумевали под этим названием – неизвестно), настаивали в воде зеленую жабу-кумку рекомендовали пить настой небольшими порциями. На Бойковщине жабой натирали ноги, веруя, что они никогда не будут болеть.
С лечебной целью используется не только яд жабы, но и мясо. В Институте восточной медицины Социалистической Республики Вьетнам его назначают детям при дистрофии в виде таблеток «Com Cae», в которые еще входят желток и высушенный банан. Мясо жаб китайские врачи рекомендуют применять при лечении бронхиальной астмы и в качестве тонизирующего средства.
В настоящее время препарат из яда китайских жаб под названием «мапин» (согласно японской фармакопее 1951 г.) используется с лечебной целью во многих странах Востока. В 1965 г. японские ученые Иватсуки, Юса и Катаока сообщили об успешном использовании в клинике компонентов, выделенных из жабьего яда.
С. В. Пигулевский приводит сведения исследователей Роста и Пола, согласно которым жабий яд широко применялся при лечении водянок до введения наперстянки. Применяли его и для отравления стрел. Один из первых исследователей природы жабьего яда — известный французский физиолог Клод Бернар свыше 400 лет тому назад писал, что «яд противостоит действию жары, он растворим в алкоголе и что он, одним словом, столь же стоек, как и яд стрел». «Вот, например, стрелы, переданные мне г. Бусенго,— они из Южной Америки. Я совершенно не знаю, какова природа яда, в них заключающегося. Это не кураре, как предполагали, потому что его токсическое действие проявляется на мышцах, а не на нервах. Я склонен думать, что это яд жаб, которым изобилует страна, где изготовляются эти стрелы; яд жаб в самом деле очень энергично действует на мышечное волокно».
Последующие исследователи установили, что туземцы Южной Америки экстрагируют яд кожных желез жаб путем кипячения, добавляя к кипящему раствору ядовитые растения для усиления его отравляющего действия.
Масса высушенного яда от одной жабы составляет у самцов 16 мг, у самок — 27 мг. В виде белой пены он свободно вытекает из кожных желез на поверхность тела. Из околоушных желез (паротид) он может с силой выбрызгиваться на расстояние до метра. По данным В. И. Захарова, жабий яд в разведениях 1 : 100 и 1 : 1000 через 20 мин вызывает паралич конечностей и гибель клещей. Яд жабы, введенный в кровь мелких птиц и ящериц, убивает их за несколько минут. Кролики, морские свинки и собаки гибнут менее чем через час.
В 1935 г. советский исследователь Ф. Талызин поймал в Киргизии 16 зеленых жаб, снял их кожу, высушил ее и хранил до 1965 г., после чего исследовал ее токсические свойства. Было установлено, что яд жабы после 30-летнего хранения в относительно неблагоприятных условиях влажности и температуры почти не теряет характерных токсических свойств.
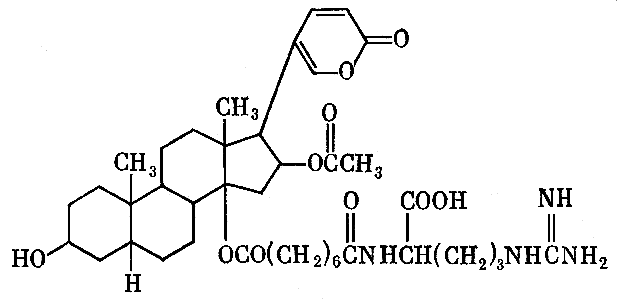
В настоящее время наиболее изученным соединением, выделенным из яда жаб, является буфотоксин — эфир стероида буфогенина с дипептидом субериларгинином,

Буфотоксин
Как и во многие другие животные яды, в состав жабьего токсина входит фосфолипаза А.
В 1978 г. Б. Н. Орловым и В. Н. Крыловым была составлена таблица, в которой физиологически активные вещества яда жаб представлены двумя группами химических соединений (см. с. 35).
Яд жаб содержит до 5 – 7% адреналина. Следует заметить, что в надпочечниках человека его концентрация в четыре раза меньше. Высоким содержанием этого соединения, обладающего сосудосуживающим действием, можно объяснить использование китайского препарата «Чан-Су» в качестве наружного кровоостанавливающего средства.
Следует указать, что состав яда различных видов жаб имеет определенные количественные колебания, а выделенные буфотоксины различаются, как правило, радикалами стероидной части молекул.