Бухгалтерское дело. Учебное пособие - Страница 2
Поскольку системы имеют пространственную протяженность, а управляющие воздействия и преобразование объекта не совпадают во времени, то в системе управления должны обеспечиваться передача, хранение и преобразование управляющей и осведомительной информации. Для этого между системой и средой и внутри системы имеются каналы связи, содержащие устройства для хранения и переработки информации. Информация является средством управления, и ее количество и качество оказывают существенное влияние на эффективность управления. Чем больше информации используется для выработки решений, тем они точнее.
Сущностью учетной системы является то, что она содержит в себе основную информацию, поступающую из управляемого объекта в управляющий. Именно благодаря учетной информации управляющий объект может выполнять все виды контроля за управляемым объектом (предварительный, текущий и последующий) и к тому же осуществлять связь с внешней средой на входе и выходе системы. Таким образом, систему учета можно считать аналогичной системе управления.
Основными элементами системы учета являются оперативный, бухгалтерский и статистический учет, которые обладают определенными свойствами.
Свойства систем представляют собой способы отражения в человеческом сознании объективных законов окружающего нас материального мира. Свойства вещей бесконечно разнообразны, так же разнообразны и их отношения. Исследователь отбирает в системе такие свойства объектов и отношения между ними, которые необходимы для решения поставленной задачи. Так, например, на предприятии имеется определенная система документации. Поставлена задача изучить учетную документацию, которую необходимо выделить из технической, плановой и других видов.
В свою очередь, между видами документации существуют определенные связи, например учетная документация подразделяется на документацию оперативного, бухгалтерского (финансового или управленческого), статистического учета. Документация бухгалтерского учета состоит из документов по учету материальных ценностей, труда и заработной платы, производства и т. д., между которыми существуют взаимосвязи. Составление и обработка документации осуществляются в соответствующих структурных подразделениях предприятия. В этом случае также необходимо определить связи между этими подразделениями. Следовательно, предел деления системы определяется постановкой задачи и принятым в ней масштабом измерения. Так, если рассматривать систему документации цеха, за элементы системы можно принять документацию участков, если же рассматривать систему документации предприятия, элементами могут быть документация цехов, отделов и т. д.
Необходимо подчеркнуть, что элемент системы представляет собой не только отдельную вещь, но и элементарное отношение. Так, например, учетная документация и работники, занятые ее обработкой, представляют собой учетный аппарат, т. е. качественная работа учетного аппарата зависит от таких элементов, как документ и учетный работник. Часть документов при определенной задаче принимается в качестве неизменных так же, как и их отношения с другими элементами. Такие элементы называются параметрами системы.
Элементы системы взаимосвязаны между собой. Часть элементов может быть связана не только с элементами данной системы, но и с элементами других систем. Такие элементы называются входами и выходами системы в зависимости от того, воздействует ли на них другая система или они воздействуют на нее. Если число элементов в системе велико, чтобы с ними можно было успешно работать, нужно применить специальный прием упорядочения этих элементов, т. е. определить структуру элементов системы по необходимому признаку.
Исходя из сказанного можно утверждать, что основными свойствами любой системы управления, в том числе и учетной системы хозяйствующего субъекта, являются:
• целостность – комплекс объектов системы обладает общими свойствами и поведением;
• делимость – систему можно расчленить на элементы;
• изолированность – комплекс объектов, образующих систему, и связи между ними можно отграничить от их окружения и рассматривать изолированно. Изолированность систем является относительной, поскольку комплекс объектов, образующих систему, общается со средой через входы и выходы;
• определимость – каждая составная часть системы может быть отделена от других составляющих;
• множественность – каждый элемент системы обладает своим собственным поведением и состоянием, отличным от поведения и состояния других элементов и системы в целом;
• иерархичность – каждая система, в свою очередь, является подсистемой системы более высокого уровня;
• управляемость – наличие в системе управляющего и управляемого объекта.
Свойства систем многообразны, и любая рассматриваемая система, кроме основных свойств, обладает еще и специфическими.
Наука о бухгалтерском учете находится в системе экономических, юридических наук и кибернетики. Как известно, любая наука использует собственную методологию и организацию.
До настоящего времени составной частью бухгалтерского учета являлся элемент «организация бухгалтерского учета». Однако данный элемент существует, по нашему мнению, только в условиях статического, стабильного поведения учетной системы предприятия. Элемент «бухгалтерское дело» включает в себя подэлемент «организация бухгалтерского учета». Данное положение определяется следующими условиями:
• жизненный цикл предприятия проходит несколько стадий – образование, реорганизация, ликвидация;
• каждая стадия жизненного цикла определяет состояние бухгалтерского дела;
• организация бухгалтерского дела зависит от структуры и организационно-правовых форм хозяйствующего субъекта;
• внутренняя, входная и выходная учетная информация постоянно меняет свои параметры.
Таким образом, бухгалтерское дело – это организация внутренней, входной и выходной учетной информации в условиях динамического изменения параметров хозяйствующего субъекта.
Предметом бухгалтерского дела являются организационно-правовые процедуры управления учетной системой и учетным аппаратом на всех стадиях жизненного цикла функционирования предприятия (организации).
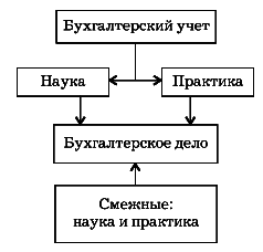
На рис. 2 представлено место бухгалтерского дела в системе бухгалтерского учета как связующее звено между наукой и практикой.
Известно, что зачастую существует разрыв между наукой и практикой бухгалтерского учета, между требованиями нормативных актов и практического их применения, между требованиями контролирующих органов и законодательством, между требованиями разных законодательных и подзаконных актов, касающихся бухгалтерского учета.
Считаем, что развитие научно-практических основ бухгалтерского дела в нашей стране позволит готовить профессиональных учетных работников в соответствии с требованиями, которые постоянно растут в сегодняшнем мире.

Рис. 2. Место бухгалтерского дела в системе бухгалтерского учета
1.2. Основные требования к навыкам и знаниям бухгалтера
В современном динамическом мире развитие обучения бухгалтеров представляет собой нелегкую задачу. Происходят глубокие изменения, обусловленные глобализацией предпринимательской деятельности; созданием стратегических экономических и торговых союзов; быстрыми темпами развития и использования информационной технологии; ростом государственного и административного регулирования; резкими изменениями в поведении потребителей.
Постоянно меняющиеся политические, социальные и экономические условия и неопределенность будущих условий заставляют преподавателей по-новому взглянуть на процесс обучения и постоянно пересматривать программы профессиональной и учебной подготовки бухгалтеров.
Международной федерацией бухгалтеров на сессии ООН был представлен доклад «Обучение бухгалтерскому делу: некоторые потребности на 2000 г. и последующий период». Настоящий доклад применим и к сегодняшнему времени.