Большая Советская Энциклопедия (УГ) - Страница 9
Физико-химические свойства углеводов. Благодаря обилию полярных (гидроксильных, карбонильной и др.) групп в молекулах моносахаридов они хорошо растворимы в воде и нерастворимы в неполярных органических растворителях (бензоле, петролейном эфире и др.). Способность к таутомерным превращениям обычно затрудняет кристаллизацию моносахаридов. Если такие превращения невозможны, как в гликозидах или олигосахаридах типа сахарозы, вещества кристаллизуются легко. Многие гликозиды с малополярными агликонами (например, сапонины) проявляют свойства поверхностно-активных соединений. Полисахариды являются гидрофильными полимерами, молекулы которых способны к ассоциации с образованием высоковязких растворов (растительной слизи , гиалуроновая кислота ); при определённом соотношении свободных и ассоциированных участков молекул полисахариды дают прочные гели (агар, пектиновые вещества ). В отдельных случаях молекулы полисахаридов образуют высокоупорядоченные надмолекулярные структуры, нерастворимые в воде (целлюлоза , хитин ).
Биологическая роль углеводов. Роль У. в живых организмах чрезвычайно многообразна. В растениях моносахариды являются первичными продуктами фотосинтеза и служат исходными соединениями для биосинтеза разнообразных гликозидов, полисахаридов, а также веществ др. классов (аминокислот, жирных кислот, полифенолов и т.д.). Эти превращения осуществляются соответствующими ферментными системами, субстратами для которых служат, как правило, богатые энергией фосфорилированные производные сахаров, главным образом нуклеозиддифосфатсахара. У. запасаются в виде крахмала в высших растениях, в виде гликогена в животных, бактериях и грибах и служат энергетическим резервом для жизнедеятельности организма (см. Брожение , Гликолиз , Окисление биологическое ). В виде гликозидов в растениях и животных осуществляется транспорт различных продуктов обмена веществ. Многочисленные полисахариды или более сложные углеводсодержащие полимеры выполняют в живых организмах опорные функции. Жёсткая клеточная стенка у высших растений построена из целлюлозы и гемицеллюлоз, у бактерий — из пептидогликана; в построении клеточной стенки грибов и наружного скелета членистоногих принимает участие хитин. В организме животных и человека опорные функции выполняют сульфатированные мукополисахариды соединительной ткани, свойства которых позволяют обеспечить одновременно сохранение формы тела и подвижность отдельных его частей; эти полисахариды также способствуют поддержанию водного баланса и избирательной катионной проницаемости клеток. Аналогичные функции в морских многоклеточных водорослях выполняют сульфатированные галактаны (красные водоросли) или более сложные сульфатированные гетерополи-сахариды (бурые и зелёные водоросли); в растущих и сочных тканях высших растений аналогичную функцию выполняют пектиновые вещества. Особенно важную и до конца ещё не изученную роль играют сложные У. в образовании специфических клеточных поверхностей и мембран. Так, гликолипиды — важнейшие компоненты мембран нервных клеток, липополисахариды образуют наружную оболочку грамотрицательных бактерий. У. клеточных поверхностей часто определяют явление иммунологической специфичности, что строго доказано для групповых веществ крови и ряда бактериальных антигенов . Имеются данные, что углеводные структуры принимают участие также в таких высокоспецифичных явлениях клеточного взаимодействия, как оплодотворение, «узнавание» клеток при тканевой дифференциации и отторжении чужеродной ткани и т.д.
Практическое значение углеводов. У. составляют большую (часто основную) часть пищевого рациона человека (см. Питание ). В связи с этим они широко используются в пищевой и кондитерской промышленности (крахмал, сахароза, пектиновые вещества, агар). Их превращения при спиртовом брожении лежат в основе процессов получения этилового спирта, пивоварения, хлебопечения; др. типы брожения позволяют получить глицерин, молочную, лимонную, глюконовую кислоты и др. вещества. Глюкоза, аскорбиновая кислота, сердечные гликозиды, углеводсодержащие антибиотики, гепарин широко применяются в медицине. Целлюлоза служит основой текстильной промышленности, получения искусственного целлюлозного волокна, бумаги, пластмасс (см. Этролы ), взрывчатых веществ (см. Нитраты целлюлозы ) и др.
Важнейшие вопросы химии и биохимии У.— усовершенствование методов установления строения и синтеза природных У., выяснение связи между их структурой и функцией в организме, а также путей биосинтеза — разрабатываются химическими и биохимическими научными центрами наряду с др. актуальными проблемами органической химии, биохимии и молекулярной биологии. Исследованиям только в области У. посвящены специализированные международные издания: ежегодник «Advances in Carbohydrate chemistry and biochemistry» (c 1945) и журнал «Carbohydrate research» (c 1965). см. также статьи Брожение , Соединения природные , Углеводный обмен , фотосинтез .
Лит.: Химия углеводов, М., 1967; Методы химии углеводов, пер. с англ., М., 1967; Гликопротеины [т. 1—2], пер. с англ., М., 1969; Carbohydrates, ed. by G. О. AspinalI, L. — Baltimore, [1973]; Industrial gums, eds. R. L. Whistler and J. N. Bemiller, 2 ed., N. Y. — L., 1973.
А. И. Усов.

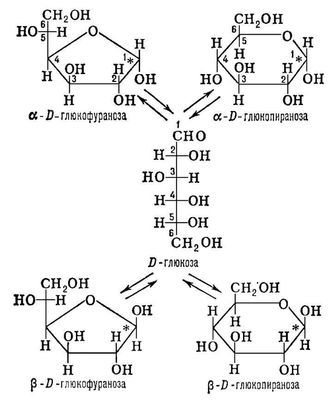
Рис. к ст. Углеводы.
Углевоз
Углево'з, угольщик, сухогрузное судно для перевозки каменного угля навалом; один из типов навалочников . Самоходные морские У. появились в середине 19 в. в связи с массовыми перевозками угля для нужд промышленности, энергетики и транспорта. У. — однопалубные суда с минимальным надводным бортом, машинное отделение и жилые помещения располагаются в корме. На У. предусматривают устройства для интенсивной вентиляции трюмов, оборудование для замера температуры воздуха в них, средства борьбы с пожарами, защиту помещений от газов, выделяемых грузом. Размеры грузовых люков и прочность корпусных конструкций рассчитывают на применение разгрузочных грейферов . У большинства морских У. (1976) грузоподъёмность 2—20 тыс. т, скорость 20—26 км/ч. На некоторых саморазгружающихся У. под трюмами в виде воронок располагаются продольные ленточные транспортёры, которые при разгрузке подают груз на палубный разгрузчик, а оттуда — на берег.
Углегорск (город в Донецкой обл.)
Углего'рск, город в Донецкой области УССР. Подчинён Енакиевскому горсовету. Железнодорожный узел (линии на Донецк — Никитовку, Дебальцево). 15 тыс. жителей (1975). Добыча угля. Центральная обогатительная фабрика. Предприятия пищевой промышленности.
Углегорск (город в Сахалинской обл.)
Углего'рск, город областного подчинения в Сахалинской области РСФСР. Порт на берегу Татарского пролива, в 150 км к С. от железнодорожная станция Ильинск. 18,4 тыс. жителей (1975). Леспромхоз, целлюлозно-бумажный комбинат, цех фирмы «Сахалинмебель», завод «Стройдеталь». Предприятия пищевой промышленности. Близ У. — добыча каменного угля.
Углегорская ГРЭС
Углего'рская ГРЭС, конденсационная электростанция в посёлке Светлодарское Донецкой области УССР. Проектная мощность 3600 Мвт (4 блока по 300 и 3 по 800 Мвт ). Топливом служат донецкий уголь для блоков 300 Мвт и мазут для блоков 800 Мвт. Техническое водоснабжение оборотное на базе наливного водохранилища. Строительство начато в 1967, 1-я очередь пущена в 1973. На начало 1976 введены в эксплуатацию 4 блока по 300 Мвт и 1 блок 800 Мвт. Электроэнергия передаётся по высоковольтным линиям электропередачи напряжением 110 и 330 кв. Станция входит в объединённую энергосистему Юга и через неё в Единую энергетическую систему СССР.