Большая Советская Энциклопедия (НУ) - Страница 4
И. Б. Збарский.

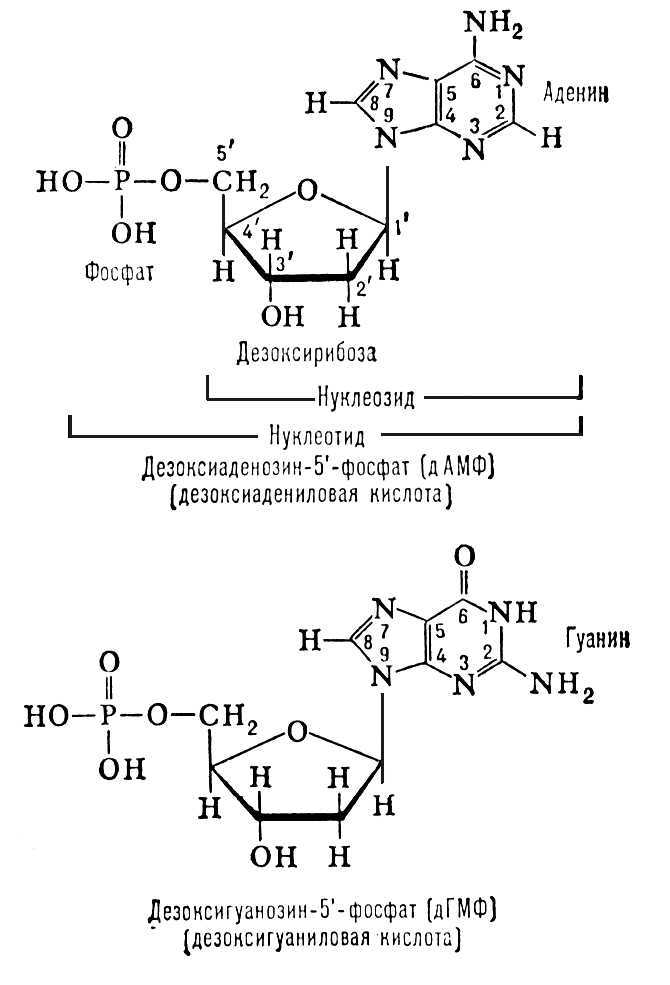
Важнейшие нуклеотиды, входящие в состав ДНК.

Важнейшие нуклеотиды, входящие в состав ДНК.
Нуклеофильные и электрофильные реагенты
Нуклеофи'льные и электрофи'льные реаге'нты. Участвующие в замещения реакциях реагенты подразделяются на нуклеофильные и электрофильные. Нуклеофильные реагенты, или нуклеофилы (Н.), предоставляют свою пару электронов на образование новой связи и вытесняют из молекулы RX уходящую группу (X) с парой электронов, образовывавшей старую связь, например:
(где R — органический радикал).
К Н. относятся отрицательно заряженные ионы (Hal-, ОН-, CN-, NO2-, OR-, RS-, NH2-, RCOO- и др.), нейтральные молекулы, обладающие свободной парой электронов (например, Н2О, NH3, R3N, R2S, R3P, ROH, RCOOH), и металлоорганич. соединения R — Me с достаточно поляризованной связью С — Me+, т. е. способные быть донорами карбанионов R-. Реакции с участием Н. (нуклеофильное замещение) характерны главным образом Для алифатических соединений, например гидролиз (ОН-, Н2О), алкоголиз (RO-, ROH), ацидолиз (RCOO-, RСООН), аминирование (NH-2, NH3, RNH2 и др.), цианирование (CN-) и т. д.
Электрофильные реагенты, или электрофилы (Э.), при образовании новой связи служат акцепторами пары электронов и вытесняют уходящую группу в виде положительно заряженной частицы. К Э. относятся положительно заряженные ионы (например, Н+, NO2+), нейтральные молекулы с электронным дефицитом, например SO3, и сильно поляризованные молекулы (СН3СОО-Br+ и др.), причём поляризация особенно эффективно достигается комплексообразованием с коэффициентами Льюиса (Hal+ — Hal- · А, R+ — Cl- · A, RCO+ — Cl- · А, где A= A1C13, SbCl5, BF3 и др.). К реакциям с участием Э. (электрофильное замещение) относятся важнейшие реакции ароматических углеводородов (например, нитрование, галогенирование, сульфирование, реакция Фриделя — Крафтса):

(E+ = Hal+, NO+2, RCO+, R+ и др.)
В определённых системах реакции с участием Н. осуществляются в ароматическом ряду, а реакции с участием Э. — в алифатическом (чаще всего в ряду металлоорганических соединений).
Лит.: Крам Д., Хэммонд Дж., Органическая химия, пер. с англ., М., 1964.
И. П. Белецкая.
Нуклеус (археол.)
Ну'клеус (от лат. nucleus — ядро), ядрище (археол.), кусок кремня или камня др. породы, от которого отбивались или отжимались отщепы или ножевидные пластины для изготовления каменных орудий. Н. всегда имеет т. н. ударную площадку, т. е. плоскость, оставшуюся от отколотого первоначального куска камня, и идущие под углом к ней впадины или желобки на месте откола отщепов или отжимов пластин. Диско-черепаховидные Н. характерны для мустьерской культуры палеолита. В позднем палеолите, мезолите, неолите и энеолите были пирамидальные, карандашевидные и призматические Н.

Нуклеус с отколотой пластиной.
Нуклеус (в пчеловодстве)
Ну'клеус,
1) в пчеловодстве — небольшая семья пчёл с молодой неплодной или запасной плодной маткой. Н. широко используются в пчеловодных хозяйствах, занимающихся выведением пчелиных маток, а также служат для сохранения запасных плодных маток (на случай замены погибших весной). Для образования Н. в улья, разделённые перегородками на 3—4 отделения, или в боковые части ульев с обычными пчелиными семьями ставят рамки с мёдом, пергой и расплодом; заселяют эти отделения молодыми нелётными пчёлами (небольшими отводками от сильных семей) и подсаживают им неплодную матку. После спаривания матки с трутнем и начала кладки яиц её удаляют, а взамен подсаживают другую неплодную матку для оплодотворения её трутнями или помещают в Н. новую партию зрелых маточников. Так, за летний сезон из одного Н. получают 2—4 плодные матки.
2) В биологии — то же, что клеточное ядро.
Ш. Гасанов.
Нуклиды
Нукли'ды, атомы, различающиеся числом нуклонов в ядре или, при одинаковом числе нуклонов, содержащие разное число протонов или нейтронов. См. Изотопы.
Нуклоны
Нукло'ны (от лат. nucleus — ядро), общее наименование для протонов и нейтронов — частиц, образующих ядра атомные. См. также Изотопическая инвариантность.
Нукуалофа
Нукуало'фа (Nukualofa), столица государства Тонга. 15,7 тыс. жителей (1966). Порт на о. Тонгатабу, в западной части Тихого океана. Вывоз копры и бананов.
Нукус
Нуку'с, город, столица Каракалпакской АССР. Расположен на правом берегу Амударьи (у начала её дельты), в 38 км от ж.-д. станции Ходжейли (на левом берегу реки); строится (1974) ж. д. Тахиаташ — Н. Узел автомобильных дорог. 88 тыс. жителей в 1974 (10 тыс. в 1939, 39 тыс. в 1959).
Н. основан как город в 1932 на месте аула Нукуса, возникшего в 60-х гг. 19 в. С 1939 — столица Каракалпакской АССР. Предприятия Н. дают свыше 15% валовой продукции промышленности Каракалпакии. Наибольшее значение имеют металлообработка (заводы по ремонту с.-х. и дорожных машин и др.), производство стройматериалов (комбинаты крупнопанельного домостроения, стройматериалов, заводы кирпичный, гранитно-мраморный), пищевая (мясо-молочная, мукомольная, винно-водочная и др.), лёгкая промышленность. Мебельная фабрика.
Н. застраивался по генеральному плану 1936 (архитектор С. О. Овсянников и др.). В 1965 утвержден новый генеральный план (архитектор А. М. Иркабаев, инженер Т. З. Зияев). Н. имеет прямоугольную сетку улиц, застроенных жилыми (главным образом малоэтажными) и общественными зданиями. Среди общественных сооружений: здания Совета Министров Каракалпакской АССР (1930-е гг.), Каракалпакского обкома КП Узбекистана (1970, архитектор Е. К. Видякин, инженер Э. Ф. Леннешмидт). Возведены памятники В. И. Ленину (бронза, гранит, 1958, скульптор Е. В. Вучетич), воинам, павшим в Великой Отечественной войне 1941—45 (бетон, камень, 1967, архитектор К. М. Молутов).
В Н. — Каракалпакский филиал АН Узбекской ССР; педагогический институт, 11 средних специальных учебных заведений. Историко-краеведческий музей, Музей искусств Каракалпакской АССР. Музыкально-драматический театр им. К. С. Станиславского, филармония.
Лит.: Города Узбекистана, Таш., 1965; Ахмедов Э. А., Фатахов Е. Н., Новые города Узбекистана, Таш., 1972.

Нукус. Ресторан «Кырк-Кыз». 1968. Архитектор Пак Ир Дин.

Нукус. Памятник воинам, павшим в Великой Отечественной войне1941—45. Бетон, камень. 1967. Архитектор К. М. Молутов.