Большая Советская Энциклопедия (ГЛ) - Страница 43
В реформе Г. подытожены музыкальные достижения многих национальных школ, что способствовало её общеевропейскому значению. Но наибольший резонанс она имела во Франции, где на сторону Г. стали передовые круги во главе с энциклопедистами. Среди сторонников старых традиций возникла оппозиция по отношению к творчеству Г., противопоставившая ему творчество представителя неаполитанской оперной школы Н. Пиччинни. Бурная полемика, развернувшаяся в конце 70-х гг. в Париже по вопросам оперы, получила название «войны глюкистов и пиччинистов». Конечная победа осталась за Г. (влияние Г. испытал и Н. Пиччини), вокруг которого возникла оперная школа (А. Саккини, А. Сальери, И. К. Фогель). Г. оказал значительное воздействие на композиторов эпохи Великой французской революции (Л. Керубини, Э. Н. Меюль и др.). Творчество Г. примыкало к венской классической школе и способствовало формированию стиля В. А. Моцарта и Л. Бетховена. В 19 в. идеи Г. нашли дальнейшее развитие в оперной реформе Р. Вагнера.
Лит.: Материалы и документы по истории музыки, переводы под ред. М. В. Иванова-Борецкого, т. 2, М., 1934; Соллертинский И., Глюк, М. — Л., 1937; Роллан P., Собрание музыкально-исторических сочинений, т. 4 — Музыканты прошлых дней, пер. с франц., М., 1938; Ливанова Т., Музыкальная классика 18 века, М. — Л., 1939; её же, Реформа Глюка и французский оперный театр перед революцией 1789 года, в сборнике: Классическое искусство за рубежом, М., 1966; Маркус С., История музыкальной эстетики, т. 1, М., 1959; Tiersot J., Gluck, P., 1910; Marx А. В., Glück und die Oper, Bd 1—2, В., 1863; Einstein A., Glück. Sein Leben — seine Werke, Z.- Stuttg., [1954].
Г. В. Крауклис.

К. В. Глюк.
Глюкагон
Глюкаго'н (гипергликемический-гликогенолитический фактор — ГГФ), гормон, вырабатываемый поджелудочной железой (в a-клетках лангергансовых островков); стимулирует распад гликогена печени активацией фермента фосфорилазы и тем самым увеличивает концентрацию сахара в крови. Г. — полипептид, содержащий 29 аминокислотных остатков. Американский биохимик В. Бромер получил его в кристаллическом виде (1956). Г. быстро расщепляется в крови. В препаратах инсулина может быть до 5—10% Г.
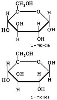
Глюкоза
Глюко'за (от греч. glykys — сладкий), виноградный сахар, декстроза; углевод, наиболее часто встречающийся в природе; относится к гексозам, т. е. моносахаридам, содержащим 6 углеродных атомов. Бесцветные кристаллы, tпл 146,5 °С. Хорошо растворима в воде. Раствор Г. содержит молекулы в a-форме и b-форме; равновесное состояние достигается при соотношении этих форм 37% и 63%. Г. оптически активна, вращает поляризованный луч вправо. a-Г. — необходимый компонент всех живых организмов — от вирусов до высших растений и позвоночных животных (включая человека); входит в состав различных соединений — от сахарозы, целлюлозы и крахмала до некоторых гликопротеидов и вирусной рибонуклеиновой кислоты. Для ряда бактерий Г. — единственный источник энергии. Г. участвует во многих реакциях обмена веществ.

Содержание Г. в крови человека около 100 мг%, оно регулируется нейро-гуморальным путём (см. Углеводный обмен). Снижение содержания Г. (см. Гипогликемия) до 40 мг% вызывает резкое нарушение деятельности центральной нервной системы. Основные пути использования Г. в организме: анаэробные превращения, сопровождающиеся синтезом АТФ (см. Аденозинфосфорные кислоты) и заканчивающиеся образованием молочной кислоты (см. Гликолиз); синтез гликогена; аэробное окисление до глюконовой кислоты под действием фермента глюкозооксидазы (процесс присущ некоторым микроорганизмам, использующим его для получения энергии, протекает с поглощением кислорода воздуха); превращения в пентозы и др. простые сахара (пентозофосфатный цикл). При полном ферментативном окислении Г. до CO2 и H2O выделяется энергия: C6H12O6 + 6O2 ® 6CO2 + 6H2O + 686 ккал/моль, значительная часть которой аккумулируется макроэргическими соединениями типа АТФ. Синтез Г. из неорганических компонентов представляет обратный процесс и осуществляется растениями и некоторыми бактериями, использующими энергию солнечного света (фотосинтез) и химических окислительных реакций (хемосинтез).
В промышленности Г. получают гидролизом крахмала. Применяется в кондитерском производстве; как лечебное средство — в медицине.
А. А. Болдырев.
Для медицинских целей употребляют Г. в порошках и таблетках, а также изотонический (4,5—5%) и гипертонический (10—40%) растворы Г. Изотонические растворы применяют (вводят подкожно и в клизмах) для пополнения организма жидкостью; они являются также источником легко усвояемого питательного материала. При введении гипертонических растворов (внутривенно) повышается осмотическое давление крови, улучшаются процессы обмена веществ, усиливается антитоксическая функция печени, сократительная деятельность сердечной мышцы, расширяются сосуды, увеличивается мочевыделение. Растворы Г. применяют при инфекционных заболеваниях, заболеваниях сердца, различных отравлениях и др., часто в сочетании с аскорбиновой кислотой.
Лит.: Химия углеводов, М., 1967.
Глюкозамин
Глюкозами'н, один из аминосахаров. Широко распространён в природе. Свободный Г. хорошо кристаллизуется, растворяется в воде, восстанавливает, подобно моносахаридам, ионы металлов (Cu2+, Ag+ и др.), входит в состав гликопротеидов, мукополисахаридов (гиалуроновой кислоты и гепарина), хитина.

Глюкозофосфаты
Глюкозофосфа'ты, промежуточные продукты углеводного обмена в тканях животных, растений и микроорганизмов; соединения глюкозы с одним или двумя остатками ортофосфорной кислоты. К Г. относятся глюкозо-1-фосфат, глюкозо-6-фосфат и глюкозо-1,6-дифосфат.
Глюкокиназа
Глюкокина'за, фермент, относящийся к группе киназ и катализирующий перенос конечного фосфата от аденозинтрифосфорной кислоты к шестому атому углерода в молекуле глюкозы. Активность фермента высока: одна молекула Г. может обеспечить за 1 мин фосфорилирование 20000 молекул глюкозы. При дифференциальном центрифугировании Г. обнаруживается главным образом в надосадочной жидкости, а также в митохондриях.
Глюкокортикоиды
Глюкокортико'иды, гормоны, выделяемые корой надпочечников человека и позвоночных животных. Г. относятся к стероидам, характеризуются наличием группы HO— или О = С