Большая Советская Энциклопедия (ЦИ) - Страница 3
Цианкобаламин
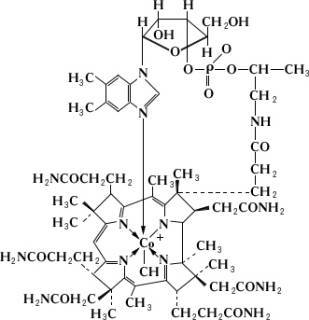
Цианкобалами'н, витамин B12 H88 CoN14 O14 P; кобальт-корриновый комплекс, в котором атом кобальта соединён с цианогруппой, нуклеотидным остатком и с четырьмя восстановленными пиррольными кольцами. Молекулярная масса 1355,40. Тёмно-красные кристаллы, растворимые в воде и полярных органических растворителях. В кристаллическом виде впервые получен из печени крупного рогатого скота. Строение установлено А. Тоддом , Д. Кроуфут-Ходжкин и сотрудниками. Первоисточник Ц. в природе — микроорганизмы (Ц. синтезируется некоторыми бактериями, актиномицетами, синезелёными водорослями). Ц. обнаружен почти во всех тканях животных. В тканях высших растений, как правило, не встречается (исключение — клубеньки бобовых). У жвачных животных Ц. в достаточном количестве синтезируется микрофлорой кишечника, рубца. У человека и некоторых высших животных (птиц, свиней и др.) синтез Ц. микрофлорой кишечника незначителен, поэтому витамин B12 должен поступать в организм с пищей. Потребность в Ц. человека — около 5 мкг в сутки. Основной источник Ц. — печень, почки, рыбная мука, молоко. Ц. в форме коферментов — метилкобаламин и дезоксиаденозилкобаламин — участвует в ферментативных реакциях, обеспечивающих кроветворную функцию организма, способствует нормализации функции печени, благоприятно влияет на регенерацию нервных волокон. Получают Ц. микробиологическим синтезом, используя для ферментации пропионовокислые бактерии.

Витамин B12 применяют для лечения пернициозной и др. анемий, а также заболеваний центральной и периферической нервной систем, печени и т.д. Назначают в растворах внутримышечно. См. также Витамины , Анемия , Кобаламины .
Лит.: Смит Л., Витамин B12 , пер. с англ., М., 1962; Friedrich W., Vitamin B12 und verwandte corrinoide, 3 Aufl., Stuttg., 1975.
И. П. Рудакова.
Цианобактерии
Цианобакте'рии, синезелёные бактерии, термин, применяемый с 70-х гг. 20 в. главным образом в микробиологической литературе для обозначения синезелёных водорослей . Основанием для введения термина «Ц.» послужило сходство строения клеток (их ядерного, рибосомального и фотосинтезирующего аппаратов, клеточной стенки и др. структур), наличие общих специфических компонентов (муреина в клеточной стенке, поли-b-оксибутирата как запасного вещества) и близость генетических свойств Ц. с др. представителями прокариотов — бактериями.
Циановая кислота
Циа'новая кислота', равновесная смесь двух таутомерных форм — Ц. к. (I) и изо-Ц. к. (II) — с преобладанием в обычных условиях последней:
(I) H—O—CºN Û H—N=C=O (II).
Ц. к. — бесцветная легкоподвижная жидкость с резким запахом, tпл — 80 °С, tкип 23,6 °С, плотность 1,14 г/см3 (0°С). Ц. к. хорошо растворима в воде, эфире. Водный раствор Ц. к. — довольно сильная кислота (константа диссоциации К = 1×10-4 ). Жидкая Ц. к. самопроизвольно (уже при 0 °С) полимеризуется (при 20 °С иногда со взрывом); продукты полимеризации: циклический тример (HOCN)3 — циануровая кислота и линейный полимер (HOCN) n — циамелид. В разбавленных водных растворах Ц. к. легко гидролизуется (особенно быстро в присутствии минеральных кислот):
HOCN + H2 O ® CO2 + NH3 .
Ц. к. может быть получена каталитическим окислением синильной кислоты (при 560—640 °С) или термической деполимеризацией циануровой кислоты в токе CO2 . Ц. к. — промежуточный продукт в промышленном синтезе меламина из мочевины. Среди производных Ц. к. наибольшее практическое значение имеют хлористый циан , цианамид кальция и цианаты .
Лит. см. при ст. Цианиды .
Цианоз
Циано'з (от греч. kyanós — тёмно-синий), синюха, синюшный цвет кожи и слизистых оболочек. Имеет различные оттенки: от серо- до черно-синего («чугунного»). Истинный Ц. объясняется повышенным содержанием (более 5 г %) в крови капилляров восстановленного гемоглобина , имеющего синеватый цвет. Интенсивный Ц. конечностей называется акроцианозом. Различают центральный Ц., развивающийся при нарушении насыщения кислородом крови в лёгких (преимущественно при болезнях лёгких, врождённых пороках сердца , отравлениях угарным газом, анилиновыми производными), и периферический Ц., возникающий вследствие замедления тока крови и большей отдачи кислорода в окружающие ткани (при заболеваниях сердца, вызывающих нарушение кровообращения, и при местном замедлении кровотока, например при тромбофлебите, Рейно болезни ). В отличие от истинного Ц., ложный Ц. обусловлен изменением окраски самой кожи.
Цианометр
Циано'метр (от греч. kyanós — синий и ...метр ), прибор, предназначенный для измерения цвета ясного дневного неба, разновидность колориметра . Ц. обладает одномерной шкалой, позволяющей измерять цвета в пределах последовательности от белого через бело-голубой до насыщенного синего. Различают относительные Ц., в которых цвет неба сравнивается с набором стандартов синевы, например с бумажками, окрашенными в разные оттенки синевы (Ц. Соссюра), и др., и абсолютные, позволяющие выражать результаты наблюдения в виде цветовой температуры или иной принятой в колориметрии характеристики цвета. Первый Ц. был изготовлен в конце 18 в. О. Б. Соссюром . В 1919 Г. А. Тихов изобрёл Ц., в котором цвет неба сравнивается с цветом пластинки из сапфира.
Цианотипия
Цианоти'пия, устаревший способ получения штриховых изображений (чертежей) с помощью светочувствительных материалов на основе солей Fe (lll) некоторых органических кислот (лимонной, винной). Ц. основана на способности Fe (lll) восстанавливаться под действием света до Fe (ll). Ц. полностью вытеснена диазотипией и электрофотографией .
Цианплав
Цианпла'в, смесь цианидов кальция и натрия; чёрный порошок; применяется для фумигации саженцев, черенков цитрусовых и др. культур, чайных кустов против клещей, червецов, щитовок и др. вредителей, для затравки нор сусликов, обеззараживания мельничных предприятий. Очень ядовит; хранится герметически упакованным в железные барабаны.
Циануровая кислота
Циану'ровая кислота' (формула I), циклический тример циановой кислоты ; бесцветные кристаллы, растворимые в горячей воде и спирте.

При нагревании до 150 °С Ц. к. деполимеризуется, не плавясь; образует при действии щелочей моно-, ди- и трехосновные соли; в некоторых реакциях, например с диазометаном, реагирует в виде таутомерной формы — изоциануровой кислоты (II). Ц. к. может быть получена нагреванием мочевины и др. способами. Важное промышленное значение имеют производные Ц. к. — триамид, т. н. меламин , применяемый главным образом в производстве меламино-формальдегидных смол , и хлор-ангидрид — цианурхлорид .
Цианурхлорид
Цианурхлори'д, хлорангидрид циануровой кислоты , 2,4,6-трихлор-1,3,5-триазин (см. формулу).
