Биржевая игра - Страница 18








Согласно таблице 5.10, требуется только 49.000 долларов для того, чтобы получить 1 миллион прибыли, а при помощи управления капиталом дополнительно требуется 13.000 долларов прибыли. К моменту получения 1 миллиона число торгуемых контрактов составит 80.
Таблица 5.11 показывает, что при торговле одним контрактом потребуется 81.000 долларов, чтобы достигнуть 350.000 долларов. И 25.000 долларов дополнительной прибыли от одного контракта, чтобы увеличить общие прибыли от управления капиталом и достичь 1.000.000 долларов. На этом уровне в торговлю привлекаются 40 контрактов.
Таблица 5.12 показывает, что по достижении 1 миллиона долларов в игру вовлекаются 90 контрактов. Схема покупки - 1 контракт на каждые 11.111 долларов на счете. Риск в размере 9% по каждой сделке дает убыток, равный 37,4% суммарно извлекаемой прибыли. Убыток в 10.000 долларов по одному контракту приносит совокупное уменьшение суммы счета на 61%.
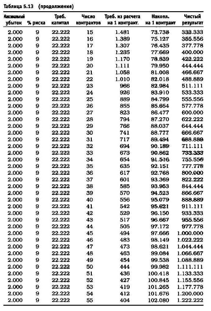
Из таблицы 5.13 видно, что для получения общей прибыли 350.000 долларов необходимо 75.000 прибыли при торговле одним контрактом. Дополнительные 22.000 прибыли от одного контракта потребуется, чтобы получить 1.000.000 долларов, если торговать 45 контрактами. По этому сценарию убыток в размере 6000 долларов на контракт дает 25% потерь.






ОПТИМАЛЬНАЯ ФРАКЦИЯ
Еще одна форма Фиксированно-Фракционного метода называется Оптимальная ф (f)". Популярным этот метод сделал Ральф Винс. Он использует оптимальную фиксированную долю при торговле в соответствии с заданным сценарием. "Оптимальная ф (f)" определяется как фиксированная фракция, которая дает больший доход, чем любая другая фиксированная доля, применяемая в рамках такого сценария. Наш первый пример с подбрасыванием монеты показал, что больше всего прибыли можно получить, если прибегнуть к стратегии реинвестирования, которая равна 25%, в сравнении этой величины с меньшей фиксированной долей - 15% или в сравнении с двумя другими фиксированными долями, превышающими 25%, то есть 40% и 51%. В действительности, применение как 24%, так и 26% дает менее значительную прибыль.
На первый взгляд кажется, что можно следовать этим путем. Метод может привести к феноменальному росту счета. Однако он также (и в основном именно так и происходит) может повлечь за собой тяжелые последствия. Прежде всего следует указать на то, что в каждой ситуации используются разные оптимальные фракции. Пример с подбрасыванием монеты базировался на наборе параметров и вероятностей. Торговля может иметь определенные параметры, но результаты необязательно останутся в пределах параметров. Если я использую стратегию фьючерсной торговли с остановкой в 500 долларов и целевым уровнем прибыли, равным 1.000 долларов, не применяя никаких других параметров, то падение цен может вызвать убытки, превышающие 500 долларов. Если мои позиции останутся открытыми на ночь и цены двинутся против меня, то уровень потенциального убытка может оказаться немного выше уровня защитной остановки. Помимо всего прочего, вероятность заключения прибыльных сделок по отношению к убыточным сделкам может быть равна 50% для последних 100 сделок, но это касается прошлых, а вовсе не будущих данных. Здесь нельзя применить тот же способ вычисления вероятности, что и в случае орлов и решек при подбрасывании монеты.
Поскольку мы имеем дело с непредсказуемыми вероятностями, каждый торговый результат может служить основой для математической формулы, позволяющей рассчитать оптимальную фиксированную фракцию для предыдущих торговых сделок. Это самый значительный, кроме фактора риска, недостаток метода оптимальной фракции. Этот метод не применим для прогнозирования, он обращен в основном на исследование прошлых данных. Допустим, оптимальная фракция для предыдущих 100 сделок составляла 15%, в последующих 100 сделках эта доля может оказаться равной 9%. Если для предыдущих 100 сделок оптимальной была доля 15% и вы решили провести 100 следующих сделок с той же фракцией, то вы вполне можете ошибиться и легко выйти за пределы суммы на вашем торговом счете.
Динамику метода оптимальной фракции можно проиллюстрировать при помощи кривой нормального распределения. Оптимальная доля будет представлять собой верхнюю часть кривой с участками, нисходящими влево и вправо. В сценарии с подбрасыванием монеты инвестиция в 10% от общей суммы бросков приносила прибыли меньше, чем 25-процентная, а инвестиция 25% была более прибыльной, чем 40-процентная. Эти инвестиции приносили гораздо больше прибыли, чем можно было бы получить без использования схемы реинвестирования. Однако при увеличении процента риска по каждой сделке до 51 положительное ожидание оборачивалось убытками. Следовательно, торговля с завышенным процентом риска может привести к бедствию.
В последовательности сделок, приведенных в таблице 5.14, первые 30 характеризуются оптимальной фракцией, равной 41%. А теперь рассмотрите 30 следующих сделок и рассчитайте для них оптимальную фракцию.
Обратите внимание, что оптимальная фракция для второго ряда сделок на 20% ниже оптимальной фракции для первых 30 сделок. Но мы не знали, насколько оптимальная фракция для второй группы будет отличаться от оптимальной фракции для первой, поэтому мы продолжали работу с прежней оптимальной фракцией.
Оптимальная доля изменилась сразу же после заключения 31 торговой сделки. Практическое применение стратегии оптимальной фракции оптимизирует прошлые сделки. Поэтому очередная сделка сразу попадает в последовательность, и оптимальная доля повторно оптимизируется. И будет оптимизироваться при заключении каждой сделки.
Если вы говорите себе, что подобный способ - это единственная возможность избежать торговли с неверной оптимальной фракцией для всей второй серии сделок, то проводите обновляющую оптимизацию после каждой сделки. После расчета оптимальной фракции для первой серии сделок можно утверждать лишь, что фракция действительна именно в этой серии. Расчет оптимальной фракции для второй серии не имеет никакого отношения к первой серии. Поэтому когда вы проводите повторную оптимизацию для каждой сделки, то по окончании второй серии оптимальная фракция будет составлять 31% вместо 41% для первой серии и 21% для второй серии. В результате вы все равно выйдете за пределы суммы вашего счета во время второй серии сделок, потому что вторая серия учитывает первые 30 сделок (см. главу 14, где рассматривается вероятность ряда повторяющихся сделок).