Бегство от удивлений - Страница 32
Наоборот, метр Гали в системе Вали (ОГ1) меньше Валиного метра (ОB).
Для Вали Галины метры короче, чем ее собственные, а для Гали — Валины. Теперь мы это обосновали графически.
Я забыл вам сказать, что Галя растянула ленту по ракетному прилавку за несколько секунд до встречи с Валей.

Раньше лента была свернута. А после пререканий раздосадованная Галя своими сверхпроворными руками мгновенно смотала ленту и спрятала ее в шкаф. Таким образом, развернутая лента заняла ограниченную часть мира пространства — времени. Это нетрудно нарисовать на диаграмме:

Заштрихованная часть — лента, пока она была развернута.
«Подставьте» к ней неодинаково движущихся наблюдателей — каждый воспримет ее «под своей длиной» и «под своим временем». На диаграмме выйдет нечто вроде изменений угла зрения, под которым с разных расстояний видна фабричная труба.
Однако в предыдущей главе, рассуждая на эту тему, я обещал вам указать некий признак предмета, не зависящий от движения наблюдателя. Пришла пора исполнить обещание.
Признак этот называется интервалом. Его существование строго следует из геометрических особенностей мира Минковского, из того факта, что неодинаковы масштабы длин и длительностей для осей времени и расстояний, направленных на диаграмме в разные стороны.
Так вот, не мудрствуя дальше, я прошу вас принять на веру следующее.
Можно доказать, что на каждой из наших диаграмм (построенных при помощи световых линий, симметричных относительно них осей времени и расстояний и гиперболических калибровочных кривых) в любых системах отсчета остается одинаковым математическое выражение:
l2-c2t2.
Здесь l — длина предмета или расстояние между событиями, a t — длительность существования предмета или промежуток времени между событиями. Корень квадратный из этой величины и есть интервал:
Вот оно, неизменное и абсолютное в безбрежном море эйнштейновской относительности!
Что же такое интервал? Каков его физический смысл?
Это — пространственно-временной промежуток между событиями, выражающий, говоря словами Минковского, «некий род единства» пространства и времени.
Галина лента не имеет абсолютной длины, не имеет абсолютной длительности («времени жизни» в размотанном состоянии). Но она имеет интервал — «некое единство» длины и длительности.
Причем каждый наблюдатель, измеривший длину и время бытия развернутой ленты своими линейкой и часами, может быть уверен: вычисленная величина квадрата интервала ленты и у него, и у всех его коллег из других иначе движущихся систем отсчета получится точно такой же.
В этой неизменности (физики говорят — инвариантности) интервала — драгоценное свойство природы, рецепт для вычисления количественных релятивистских эффектов. Прежде нам были доступны лишь смутные, чисто качественные рассуждения. Я произносил неопределенные слова «длиннее», «короче», «быстрее», «медленнее», и только. Теперь же открыта дверь к математической точности, к числу.
Благодаря инвариантности интервала я вправе сделать о ленте следующее математическое утверждение, объединяющее точки зрения и Гали и Вали:
l2-c2t2 = l’2 - c2t’2
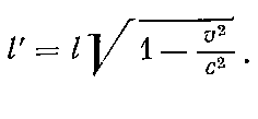
А из этого равенства после не очень сложных выкладок вытекают знаменитые формулы, называемые преобразованиями Лоренца [10]. Привожу их, по традиции этой книжки, без вывода. Для двух систем отсчета, равномерно движущихся друг относительно друга по прямым параллельным путям, релятивистские длительности явлений и продольные релятивистские длины даются выражениями:


Здесь t’ — релятивистская длительность, t — собственная длительность, l’ — релятивистская длина, l — собственная длина, с — скорость света, v — относительная скорость систем отсчета.
Формулы просты и красноречивы. Сразу видно, при каких условиях они начинают удивлять: когда относительная скорость вплотную приближается к скорости света. В противном случае, для малых скоростей, с практически беспредельной точностью действуют старинные правила Галилея:
t’=t, l’=l
Я обязан напомнить: описанный мир — не более чем примитивная модель диаграммы настоящих движений. Ведь наши поезда шли только от Москвы и только в сторону Ленинграда. А пространство фигурировало в виде одной только линии — железной дороги, начинающейся в Москве.
Усложняя мир, присоединим к Октябрьской железной дороге Киевскую (считаем, что получится прямая магистраль), но начало всех систем отсчета (отбытие поездов), как и прежде, предполагаем в Москве в московскую полночь. Вот какая будет диаграмма:

Поезда мчатся здесь из Москвы в Киев (влево) и в Ленинград (вправо). Телеграммы — тоже в обе стороны. Световых линий стало две, и они разместились под прямым углом: в Москве как бы вспыхнула молния, и ее свет летит сразу к Ленинграду и Киеву.
Следующее усложнение. К будущему присоединяем прошлое. Ленинградские поезда в полночь проезжают Москву и едут дальше, в Киев. Киевские, минуя в полночь же Москву, следуют в Ленинград. Телеграммы из Киева в Ленинград и из Ленинграда в Киев точно в 0 часов проскакивают через Москву:

Световые линии скрестились. Сверху между ними будущее, снизу—прошлое. А справа и слева — те области мира, куда поезда, подчиняющиеся нашему невообразимому расписанию (все минуют Москву в полночь и от этой мировой точки считают свои времена и расстояния), попасть не могут. Ибо нет в природе поездов, несущихся быстрее света.
Наши диаграммы продолжают оставаться чрезмерно упрощенными. На них лишь те движения, что происходят на единственной прямой линии. Потому-то и удается обходиться лишь одним пространственным измерением — длиной. Но таких движений вокруг почти не найдешь. Разве действительно железнодорожные поезда, да и то если магистраль идеально прямая.
Куда больше вещей движется по поверхности. Например, лодка пересекает наискось реку.

Попробуем изобразить это на диаграмме Минковского (предполагая, что лодка сверхбыстрая). Будут вместо осей расстояний — координатные плоскости, на них оси длины и оси ширины. Начала обеих систем — на берегу в пункте и в момент старта лодки. Оттуда при старте посылается световой сигнал, который бежит во все стороны и поэтому на диаграмме дает не световую линию, а световой конус. Вот что получится (см. рис.).
Построение исполнено точно по правилам Минковского. Следуя им, координатную плоскость лодки пришлось наклонить так, чтобы углы между нею и световым конусом всюду были равны углам между световым конусом и осью времени лодки. Этой оси на чертеже нет. Нарисуйте ее самостоятельно.
Не забывайте, что верх этой картинки — отнюдь не небо. Небу не нашлось места. Вверх идут оси времени, или мировые линии (на диаграмме есть только ось времени берега).