Алиса в стране математики - Страница 19
— В том-то и дело! — подхватил Шляпник. — В одной только секунде и то бесконечно много моментов! Как же они все могут пройти?
— Но время всё-таки идёт... — попыталась возразить Алиса.
— Оно стоит! — вскричал Шляпник, показывая на часы. — Разве ты не видишь, что оно стоит?
— А Соне всё-таки достался целый торт одному! — в наступившей тишине заметил Заяц.
— Как ты можешь думать о каком-то торте, когда время остановилось! — упрекнул его Шляпник.
И тут у Алисы родилась удивительная мысль.
— Если бы время остановилось из-за того, что в любом промежутке бесконечно много моментов, Соня не смог бы съесть весь торт! — воскликнула она.
— Ты шутишь? — печально спросил Шляпник. — При чём здесь торт?!
— Когда Соня ел торт, — начала объяснять Алиса, — он должен был сначала съесть половину торта, потом половину оставшейся половины, потом — половину половины половины... и у него всегда должно было что-то оставаться — ведь делить пополам можно без конца!
— Это и правда похоже чем-то на последний момент! — оживился Шляпник.
— Но Соня съел торт до конца! — напомнил Заяц, показывая на сверкающее блюдо.
— До конца... — задумчиво подтвердил Шляпник и посмотрел на блюдо с обеих сторон. — Как же у него это получилось? — спросил он у своего отражения, но оно ответило ему тем же вопросом. — Послушай! — толкнул он Соню. — Как ты ухитрился съесть весь торт?
Соня приоткрыл один глаз, но ничего не ответил.
Тогда Заяц взял чайную ложку, обмакнул её в вазочку с вареньем и начал старательно писать что-то вареньем на скатерти. Он писал в одну строку, и эта строка становилась всё длиннее и длиннее.
Какое-то время Шляпник молча наблюдал за Зайцем, но, наконец, не выдержал:
— Что ты делаешь? — крикнул он. — Это же последнее варенье!
Но Заяц был так увлечён, что ничего не слышал: он встал со своего места, взял вазочку с вареньем и, продолжая писать, пошёл вдоль стола. Время от времени он поднимал голову и, шевеля губами, что-то считал.
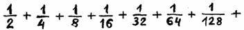
Алиса подошла к Зайцу и увидела, что он написал:
— Что это вы складываете? — спросила Алиса.
— Я хочу узнать, сколько Соня съел, — объяснил Заяц, не отрываясь от писания. — Он съел половину торта, потом еще четверть, потом одну восьмую, потом — одну шестнадцатую...
— Так записываются дробные числа! — догадалась Алиса. — Но ведь вы же никогда не допишете эту сумму до конца! — воскликнула она. — У этой суммы нет конца, потому что делить пополам можно без конца!
— А как же тогда Соня съел торт до конца? — недоверчиво спросил Заяц.
— Соня съедал каждую следующую часть вдвое быстрее, — подумав, сказала Алиса, — потому что каждая следующая часть вдвое меньше, чем предыдущая!
— А я, наоборот, на каждое новое слагаемое трачу всё больше и больше времени, — вздохнул Заяц, утирая лапкой пот со лба. — Ведь в числителе каждой дроби единица, а знаменатели становятся всё больше и больше...
— Поразительно! — воскликнул Шляпник, тоже подойдя к Зайцу. — Чем меньше число, тем дольше приходится его писать — я бы никогда в это не поверил!
И тут Алису осенило.
— Дальше можно не писать! — воскликнула она. — Я знаю, чему равна вся эта сумма!
— Ты хочешь сказать, что сложила в уме бесконечно много слагаемых? — удивился Шляпник. — Выписать их нельзя, а сложить в уме можно?!
— Бесконечно много слагаемых только в уме и можно сложить, — ответила Алиса. — Ни на какой бумаге они просто не поместятся. И даже на скатерти, — добавила она, посмотрев на Зайца.
— И чему же, по-твоему, равна эта сумма? — поинтересовался Шляпник.
— Единице, — сказала Алиса. — Она равна в точности единице, потому что Соня съел как раз один торт!
— Но торт был довольно большой, — заметил Заяц.
— Величина торта не имеет значения, — сказала Алиса.
— Теперь, конечно, не имеет, — огорченно вздохнул Заяц. — Ведь торт уже съеден...
— И совсем не поэтому! — начала сердиться Алиса. — Вы же сами приняли весь торт за единицу, когда выписывали эту сумму! Вот, например, одна восьмая — это же одна восьмая всего торта, правильно?
— Правильно! — подтвердил Заяц. — Я писал правильно, даже не понимая, что пишу! — с радостным удивлением повернулся он к Шляпнику.
— Это действительно странно, — отозвался Шляпник. — Ведь обычно ты не понимаешь того, что говоришь.
Заяц аккуратно обмакнул ложечку в варенье и стал писать новые слагаемые: он решил продолжать правильное дело, даже если у него нет конца.
— И всё-таки я не понимаю, как сумма бесконечного числа слагаемых может быть равна единице! — немного помолчав, сказал Шляпник.
— Мне кажется, дело в том, что новые слагаемые становятся всё меньше и меньше, и поэтому с каждым новым слагаемым сумма увеличивается всё медленнее и медленнее... — начала рассуждать вслух Алиса.
— Но увеличивается! — перебил её Шляпник. — С каждым новым слагаемым сумма всё-таки увеличивается! Как же она может не перерасти в конце концов какую-то несчастную единицу?
Это действительно казалось странным, и Алиса задумалась. Она вытащила из кармана карандаш — тот самый, который дал ей Чеширский Кот в межзвёздном пространстве, и нарисовала на скатерти отрезок:
— Представьте себе, что это весь торт, который мы приняли за единицу, — сказала Алиса.
Шляпник нагнулся к столу и внимательно посмотрел на линию, нарисованную на скатерти.
— Представил, — сказал он, наконец.
— А теперь разделим отрезок пополам, — предложила Алиса и поставила точку посредине отрезка:
— Если весь отрезок — единица, то его половина — одна вторая, — сказала Алиса и написала эту дробь под левой половиной отрезка:
— Теперь правую половину снова разделим пополам, — продолжила Алиса и поставила ещё одну точку:
— Каждая из новых частей будет равна одной четвертой, — заметил Шляпник.
— Конечно, — кивнула Алиса и написала ещё одну дробь:
— Самую правую четверть можно опять разделить пополам! — воскликнул Шляпник. — Кажется, я начинаю понимать, к чему ты ведешь... — Он взял у Алисы карандаш, отметил на отрезке ещё одну точку и написал ещё одну дробь:
— Самый правый кусок можно делить пополам снова и снова! — возбужденно продолжал Шляпник, ставя все новые и новые точки и подписывая под ними дроби — каждую новую дробь в два раза меньше предыдущей. — Получаются одна шестнадцатая, одна тридцать вторая, одна шестьдесят четвёртая... как раз те слагаемые, которые написал Заяц! И этих слагаемых будет бесконечно много!

— Но сумма всех этих слагаемых равна в точности единице! — воскликнула Алиса, показывая на рисунок. — Ведь это как раз длина всего отрезка!
— Ты права! — восхищенно произнёс Шляпник, разглядывая рисунок. — Теперь это даже видно!
Алиса была очень довольна: она сама не ожидала, что её доказательство окажется таким наглядным! А присмотревшись к рисунку, она заметила и кое-что ещё!
— Смотрите, — сказала она, — каждая следующая точка правее предыдущей, но все они левее конца отрезка! А последней точки перед концом вообще нет! Так же, как и нет последнего момента перед шестью часами...