Алгоритмы разума - Страница 30
Значение речи можно свести к тому, что она служит средством общения, обучения, хранения, передачи и распространения информации. Речь позволяет экономно выражать сложные образы, хотя и с потерей информации. В сущности, речь моделирует образы, а всякое моделирование является необходимым средством управления сложностью. Почти необъятное море моделей-образов заменяется ограниченными моделями речи и знаков, тем самым появляется возможность выявить некоторые структуры, которые тонут в обилии образов. Наконец, речь является единственным средством обозначения, маркировки обобщенных моделей и их передачи. Понятия «существо», «вещь», «предмет», являясь обобщенными образными моделями, немыслимы без речи.
Наилучшим ли образом выполняет речь функции моделирования образов. Думаю, что нет. В этом отношении гораздо более эффективны графики и их математическое выражение — формулы. Не случайно именно они стали всеобщим языком точных наук. Речь придумана для общения как расширение набора элементарных звуковых сигналов, которыми обмениваются животные, усовершенствования довели ее до границ науки, но не сделали ее однозначной для понимания.
Все это связано с семантикой, иначе говоря, с соответствием моделей-образов моделям-слов. Общеизвестны трудности перевода с одного языка на другой и неудачи кибернетиков в этой области. Буквальный перевод часто не отражает истинного значения текста на исходном языке. В чем причина. В множественности значений одного слова и в множественности словсинонимов, отражающих один образ. Слова приобретают разный смысл в разных контекстах. Иначе говоря, «действующей единицей» является не слово, а фраза или по крайней мере ее часть. Более того, даже фраза, вырванная из текста, может не только изменить свой смысл, но и утратить его.
Прежде всего трудности объясняются тем обстоятельством, что первичным является образное мышление и речь не в состоянии отразить все его богатство. Но не только этим. Есть специфика самого образного мышления, которое тоже нельзя свести к простой формуле «модель — объект». Как было показано ранее, предмет воспринимается в виде целой серии кадров-моделей разной обобщенности и детальности, объединенных друг с другом «горизонтальными» связями в некий комплекс.
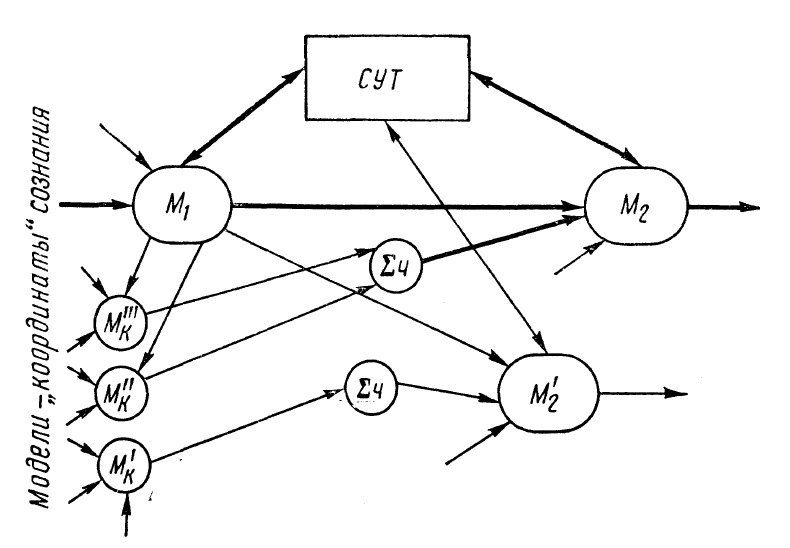
Механизмы сознания и подсознания еще более усложняют проблему выражения мыслей словами. На рис. 35 показано, как формируются переключения моделей через СУТ. Видно, что хотя сама «мысль» представляет собой короткую «фразу», в действительности это только вершина айсберга. Модели — «координаты» сознания активны и, не входя непосредственно во «фразу» сознания («мысль»), а пребывая в подсознании, влияют на выбор действия и следующей модели М
. На осуществлении такого выбора сказываются 2 различные факторы в подсознательной сфере, в которых суммировано прошлое и настоящее: одни воздействуют на стимулы, активируя определенные потребности, другие — на «тормозы», возбуждая противоположные потребности. Происходит сложный пересчет активностей, в результате которого модель М2 получает перевес и именно ее выбирает СУТ в качестве следующей «мысли». Отсюда берет начало новое направление действий с моделями. Речь не может поспевать за такими сложными отношениями и отражает лишь следствие их, скользит по поверхности («Мысль изреченная есть ложь»).

Рис. 35. Схема переключения СУТ (переключения сознания): М1 — последняя модель, находившаяся в сознании; М2 — следующая модель для захвата СУТ — сознания. Ее высокий уровень активности предопределен получением активности от модели М1 и от суммы чувств ∑Ч, которые в 1 свою очередь возбуждены от моделей — «координат» сознания (время, пространство, отношения и пр.) М'К, М''К, М'''К. «Конкурирующая» модель М'2 имеет более низкую активность и остается в подсознании.
Понимание речи. Алгоритм понимания речи сводится к первым двум этапам ФА — восприятию и анализу. Восприятие — это кодирование рецепторами слуха звуковых колебаний воздуха в последовательность сигналов рецепторных клеток, воспринимающих разные частоты. Так получается первичная модель услышанной фразы (см. рис. 14) в серии кадров, состоящих из «слов» с «буквами» интонаций и ударений. Анализ начинается с переписывания услышанной фразы своими словами и с перестановки акцентов. Это действие разворачивается как распознавание — на первый план выделяются слова, хорошо знакомые, с четкой собственной семантикой, а слова чужие, малопонятные, либо совсем опускаются, либо заменяются сходными по значению (как кажется) своими словами. Одновременно формируется следующая строка моделей — главная; это модели-образы, вызываемые из внешней памяти по семантическому «словарю соответствия» между словами речи и образами. Здесь в полной мере проявляется субъективность: у каждого человека свои ассоциации слов и образов и своя иерархия соответствий одного слова нескольким образам. В результате образуется «фраза» из моделей-образов, как если бы она создавалась при прямом восприятии объектов среды, но, разумеется, бледнее. Параллельно с переписыванием производится оценка «слов» и целой «фразы» в виде возбуждения (активации) чувств, с которыми имеют прочные связи распознанные слова и образы.

Рис. 36. Взаимоотношение моделей образов и моделей речи. Моделям образов объекта, чувств и действий соответствуют модели словесных эквивалентов. Между ними имеются прямые и обратные связи, так что они могут взаимно активировать друг друга.
Схема алгоритма понимания речи как отражения слов образами показана на рис. 36. Она относится к утвердительному предложению, которое просто передает информацию.
Для того чтобы слышать говорящего, не нужно много стимулов — слух работает как следящая система и автоматически передает в слуховой анализатор звуки, в том числе и речь. Однако для понимания речи необходимо не просто слушать, а слышать то, что сказано. Для этого уже нужно подключение СУТ, сознания. Она периодически переключается с рецептора на «материал речи», на модель фразы, зафиксированной в кратковременной памяти, с тем чтобы анализировать ее путем типичных действий с моделями. Именно это требует усилий и является утомительным. «Простота речи» выражается в легкости извлечения из постоянной памяти моделей-эталонов для распознавания, прогнозирования и оценки услышанного. Напротив, при восприятии незнакомого материала для понимания требуются усилия, то есть значительные стимулы, чтобы извлекать из памяти редко используемые модели, которые далеко не точно соответствуют слышимому. Все это утомляет, и слушатель теряет нить изложения, его сознание отключается от анализа слышимого и приключается к чему-то другому.
Стимулы для слушания и понимания те же, что и для любой другой деятельности: от потребностей, включая и любознательность.
Понимание речи очень субъективно и искажено, иными словами, воспринятая фраза в разной степени соответствует образам и чувствам человека, произносившего ее. Это объясняется рядом причин (см. рис. 36). Словарь синонимов, по которому чужая фраза переписывается своими словами, ограничен и неточен. На подбор слов влияет исходное состояние чувств, которые «подсказывают» для переписки слова, наиболее значимые в данный момент. Еще более субъективен словарь соответствия слов образам. Так, исходные чувства влияют на исходную структуру фразы. К сожалению, это положение трудно реализовать в алгоритме, поскольку пришлось бы постоянно переписывать «букву значимости» и «адреса чувств» для всех моделей постоянной памяти. Однако постоянные связи слов с чувствами, характеризующие данный интеллект и отличающие его от других, закладываются в постоянную память и проявляются при понимании речи. Вторая причина — субъективность оценки «фразы» образа после того, как он уже воссоздан. Это зависит от характеристик чувств и их исходного состояния.